Engineering Acoustics/Thermoacoustics

One ordinarily thinks of a sound wave as consisting only of coupled pressure and position oscillations. In fact, temperature oscillations accompany the pressure oscillations and when there are spatial gradients in the temperature oscillations, oscillating heat flow occurs. The combination of these oscillations produces a rich variety of “thermoacoustic” effects. In everyday life, the thermal effects of sound are too small to be easily noticed; for example, the amplitude of the temperature oscillation in conversational levels of sound is only about 0.0001 °C. However, in an extremely intense sound wave in a pressurized gas, these thermoacoustic effects can be harnessed to create powerful heat engines and refrigerators. Whereas typical engines and refrigerators rely on crankshaft-coupled pistons or rotating turbines, thermoacoustic engines and refrigerators have no moving parts (or at most only flexing parts without the need for sliding seals). This simplicity, coupled with reliability and relatively low cost, has highlighted the potential of thermoacoustic devices for practical use. As a result, thermoacoustics is maturing quickly from a topic of basic scientific research through the stages of applied research and on to important practical applications[1]. Recently, thermoacoustic phenomena have been employed in the medical field for imaging of tissues.

History

The history of thermoacoustic engines is long but sparsely populated. A review of Putnam and Dennis[2] describes experiments of Byron Higgins[3] in 1777 in which acoustic oscillations in a large pipe were excited by suitable placement of a hydrogen flame inside. The Rijke tube[4], an early extension of Higgins' work, is well known to modern acousticians. Higgins' research eventually evolved into the modern science of pulse combustions[5] whose applications have included the German V-I rocket (the "buzz bomb") used in World War II and the residential pulse combustion furnace introduced by Lennox, Inc., in 1982. The Sondhaus tube is the earliest thermoacoustic engine that is a direct antecedent of the thermoacoustic prime movers. Over 100 years ago, glass blowers noticed that when a hot glass bulb was attached to a cool glass tubular stem, the stem tip sometimes emitted sound, and Sondhauss quantitatively investigated the relation between the pitch of the sound and the dimensions of the apparatus.

The English physicist, Lord Rayleigh explained the Sondhauss tube qualitatively in 1896: "In almost all cases where heat is communicated to a body, expansion ensues and this expansion may be made to do mechanical work. If the phases of the forces thus operative be favorable, a vibration may be maintained. For the sake of simplicity, a tube, hot at the closed end and getting gradually cooler towards the open end, may be considered. At a quarter of a period before the phase of greatest condensation, the air is moving inwards, i.e., towards the closed end, and therefore is passing from colder to hotter parts of the tube; but in fact the adjustment of temperature takes time, and thus the temperature of the air deviates from that of the neighboring parts of the tube, inclining towards the temperature of that part of the tube from which the air has just come. From this it follows that at the phase of greatest condensation heat is received by the air, and at the phase of greatest rarefaction heat is given up from it, and thus there is a tendency to maintain the vibrations."

The history of imposing acoustic oscillations on a gas to cause heat pumping and refrigeration effects is even briefer and more recent than the history of thermoacoustic prime movers. In a device called a pulse-tube refrigerator, Gifford and Longsworth produced significant refrigeration by applying a very low-frequency high-amplitude pressure oscillation to the gas in a tube. As they explained the phenomenon, "If any closed chamber is pressurized and depressurized by delivery and exhaustion of gas from one point on its surface and the flow is essentially smooth, heat pumping will occur away from the point on its surface," because of the temperature changes that accompany the pressure changes in the gas, and their time-phasing relative to the oscillatory gas flow.

Principle of operation

When a sound wave is sent down a half-wavelength tube with a vibrating diaphragm or a loudspeaker, the pressure pulsations make the gas inside slosh back and forth. This forms regions where compression and heating take place, plus other areas characterized by gas expansion and cooling. Working principleWorking principle

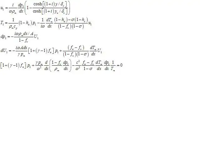
A thermoacoustic refrigerator is a resonator cavity that contains a stack of thermal storage elements (connected to hot and cold heat exchangers) positioned so the back-and-forth gas motion occurs within the stack. The oscillating gas parcels pick up heat from the stack and deposit it to the stack at a different location. The device "acts like a bucket brigade" to remove heat from the cold heat exchanger and deposit it at the hot heat exchanger, thus forming the basis of a refrigeration unit. [1] The governing mathematical equations of the thermoacoustic phenomenon are given below.

Working principle

Standing-wave systems

The thermoacoustic engine (TAE) is a device that converts heat energy into work in the form of acoustic energy. A thermoacoustic engine is operating using the effects that arise from the resonance of a standing-wave in a gas.  A standing-wave thermoacoustic engine typically has a thermoacoustic element called the “stack”. A stack is a solid component with pores that allow the operating gas fluid to oscillate while in contact with the solid walls. The oscillation of the gas is accompanied with the change of its temperature. Due to the introduction of solid walls into the oscillating gas, the plate modifies the original, unperturbed temperature oscillations in both magnitude and phase for the gas about a thermal penetration depth δ=√(2k/ω) away from the plate, where k is the thermal diffusivity of the gas and ω=2πf is the angular frequency of the wave. Thermal penetration depth is defined as the distance that heat can diffuse though the gas during a time 1/ω. In air oscillating at 1000 Hz, the thermal penetration depth is about 0.1 mm. Standing-wave TAE must be supplied with the necessary heat to maintain the temperature gradient on the stack. This is done by two heat exchangers on both sides of the stack.[1]

If we put a thin horizontal plate in the sound field the thermal interaction between the oscillating gas and the plate leads to thermoacoustic effects. If the thermal conductivity of the plate material would be zero the temperature in the plate would exactly match the temperature profiles as in Fig. 1b. Consider the blue line in Fig. 1b as the temperature profile of a plate at that position. The temperature gradient in the plate would be equal to the so-called critical temperature gradient. If we would fix the temperature at the left side of the plate at ambient temperature Ta (e.g. using a heat exchanger) then the temperature at the right would be below Ta. In other words: we have produced a cooler. This is the basis of thermoacoustic cooling as shown in Fig. 2b which represents a thermoacoustic refrigerator. It has a loudspeaker at the left. The system corresponds with the left half of Fig. 1b with the stack in the position of the blue line. Cooling is produced at temperature TL.

It is also possible to fix the temperature of the right side of the plate at Ta and heat up the left side so that the temperature gradient in the plate would be larger than the critical temperature gradient. In that case we have made an engine (prime mover) which can e.g. produce sound as in Fig. 2a. This is a so-called thermoacoustic prime mover. Stacks can be made of stainless steel plates but the device works also very well with loosely packed stainless steel wool or screens. It is heated at the left, e.g., by a propane flame and heat is released to ambient temperature by a heat exchanger. If the temperature at the left side is high enough the system starts to produces a loud sound.

Thermoacoustic engines still suffer from some limitations, including that:

  • The device usually has low power to volume ratio.
  • Very high densities of operating fluids are required to obtain high power densities
  • The commercially-available linear alternators used to convert acoustic energy into electricity currently have low efficiencies compared to rotary electric generators
  • Only expensive specially-made alternators can give satisfactory performance.
  • TAE uses gases at high pressures to provide reasonable power densities which imposes sealing challenges particularly if the mixture has light gases like helium.
  • The heat exchanging process in TAE is critical to maintain the power conversion process. The hot heat exchanger has to transfer heat to the stack and the cold heat exchanger has to sustain the temperature gradient across the stack. Yet, the available space for it is constrained with the small size and the blockage it adds to the path of the wave. The heat exchange process in oscillating media is still under extensive research. 
  • The acoustic waves inside a thermoacoustic engines operated at large pressure ratios suffer many kinds of non-linearities such as turbulence which dissipates energy due to viscous effects,  harmonic generation of different frequencies that carries acoustic power in frequencies other than the fundamental frequency. 

The performance of thermoacoustic engines usually is characterized through several indicators as follows:[2]

  • The first and second law efficiencies.
  • The onset temperature difference, defined as the minimum temperature difference across the sides of the stack at which the dynamic pressure is generated.
  • The frequency of the resultant pressure wave, since this frequency should match the resonance frequency required by the load device, either a thermoacoustic refrigerator/heat pump or a linear alternator.
  • The degree of harmonic distortion, indicating the ratio of higher harmonics to the fundamental mode in the resulting dynamic pressure wave.
  • The variation of the resultant wave frequency with the TAE operating temperature

Travelling-wave systems

Figure 3 is a schematic drawing of a travelling-wave thermoacoustic engine. It consists of a resonator tube and a loop which contains a regenerator, three heat exchangers, and a bypass loop. A regenerator is a porous medium with a high heat capacity. As the gas flows back and forth through the regenerator it periodically stores and takes up heat from the regenerator material. In contrast to the stack, the pores in the regenerator are much smaller than the thermal penetration depth, so the thermal contact between gas and material is very good. Ideally the energy flow in the regenerator is zero, so the main energy flow in the loop is from the hot heat exchanger via the pulse tube and the bypass loop to the heat exchanger at the other side of the regenerator (main heat exchanger). The energy in the loop is transported via a travelling wave as in Fig. 1c, hence the name travelling-wave systems. The ratio of the volume flows at the ends of the regenerator is TH/Ta, so the regenerator acts as a volume-flow amplifier. Just like in the case of the standing-wave system the machine “spontaneously” produces sound if the temperature TH is high enough. The resulting pressure oscillations can be used in a variety of ways such as in producing electricity, cooling, and heat pumping.

Thermoacoustic machines

There are two basic kinds of thermoacoustic machines:

  1. Thermoacoustic prime movers
  2. Thermoacoustic refrigerator
A standing wave demonstration refrigerator
A standing wave demonstration refrigerator

Basic components of a thermoacoustic system

A thermoacoustic machine generally consists of:

  1. Acoustic driver
  2. Stack or regenerator
  3. Heat exchanger
  4. Resonator

Acoustic driver

Electrodynamic drivers are used in a class of electrically driven thermoacoustic refrigeration systems. The mechanical and electrical characteristics of the driver, in conjunction with the acoustic load impedance at the driver piston, determine the electroacoustic efficiency of the actuator. The electroacoustic efficiency is, of course, a key factor in the overall efficiency of the cooling system. For this reason, it is useful to develop models that allow the efficiency of any such driver to be predicted for varying operating conditions and loads. A detailed description of linear models of loudspeakers using equivalent electrical circuits is readily available.[2]

Equivalent electrical circuit of an electroacoustic driver

Several methods based on such linear models have been proposed in order to determine the model parameters experimentally.

Stack

In the thermoacoustic refrigerator the stack is the main component where the thermoacoustic phenomenon takes place. Below shown are two stacks of different materials used in a standing wave thermoacoustic refrigerator.

A ceramic stack A parallel plate stack

Heat exchanger

The heat exchangers employed in a thermoacoustic refrigerator influence the acoustic field created in the resonator. There are many design constraints such as porosity of the heat exchanger and high heat transfer coefficient for efficiency. Due to these constraints, special kind of heat exchangers are used. One typical micro channel aluminum heat exchanger is shown below.

Heat exchanger

Resonator

This the part of refrigerator which is only there for maintaining the acoustic wave. Because it is a dead volume which causes heat loss and adds bulk, quarter wavelength resonators are preferred over half wavelength.

References

  1. M. Emam, Experimental Investigations on a Standing-Wave Thermoacoustic Engine, M.Sc. Thesis, Cairo University, Egypt (2013).
  2. G.W. Swift, A unifying perspective for someengines and refrigerators, Acoustical Society of America, Melville, (2002).
  • Greg Swift et al.,"Thermoacoustics for Liquefaction of Natural Gas",LNG Technology.
  • L. L. Beranek, Acoustics, McGraw–Hill, New York.
  • R. W. Wakeland, ‘‘Use of electrodynamic drivers in thermoacoustic refrigerators,’’J. Acoust. Soc. Am. 107, 827–832,2000.