Инволю́ция (от лат.involutio — свёртывание, завиток) — нетождественное преобразование, которое является обратным самому себе, то есть своей собственной инверсией. Это унарная операция.
В более конкретном смысле можно говорить про инволюционную функцию или инволюционное преобразование. Формально, функция называется инволюцией, если для всякого из области определения функции. Итак, определение таково:
Иногда пишут: , где обозначает тождественное преобразование. Вместо используют запись: .
Таким образом, двойное применение функции даёт исходное значение.
Если преобразование инволютивное, то для любого выражения и его образа имеем . В самом деле, .
Критерий инволюции. Функция является инволюцией тогда и только тогда, когда для всякого выражения существует такое выражение , что и . Другими словами, преобразование является инволюцией в том и только в том случае, когда оно меняет местами какие-либо два выражения.
Если — инволюция, то имеют место следующие соотношения:
[основное свойство]
[критерий]
Для всякой инволюции выполняется тождество: .
Примеры
Теперь можно привести несколько примеров инволюции, причем многие из которых будут до боли простыми.
Примеры инволюций:
, заданная на множестве целых, рациональных или вещественных чисел. Понятно, что последовательное умножение на , например, в поле вещественных чисел, приводит к изначальному результату:
Функция непрерывна, монотонно убывает, , , . То есть есть инволюция, производная которой имеет разрыв в точке ;
— дополнение множества, заданная для подмножеств некоторого универсального множества ;
— логическое отрицаниебулевой алгебры: двойное применение этого унарного оператора оставляет высказывание "на месте", а значит является инволюцией для элементов булева множества;
при факторизации обычного тора (точнее, одномерного комплексного тора, ещё точнее, эллиптической кривой) по инволюции вида получается сфера;
Если представить, что — нажатие на клавишу бытового накладного выключателя (т. е. включить либо выключить свет), то будет инволюцией.
Задача. Привести примеры:
аналитической инволюции в ;
инволюции в геометрии;
свой пример инволюции (например, из таких дисциплин, как информатика, техника, риторика и т. п., а также личный опыт).
Воможное решение.
производная функции , где ;
поворот полуокружности на : Очевидно, что такая операция является инволюцией, возвращая точку на окружности в исходное положение.
Предложим сразу два варианта ответа на этот пункт.
Явление в лингвистике: любой палиндром (палиндром — это последовательность символов, которая слева-направо и справа-налево пишется одинаково; напр.: «АБА» или «АББ ББА»). Например, написание таких слов, как «доход», «шалаш» и «топот», чисел и , а также предложение «А роза упала на лапу Азора» Афанасия Фета — инволюции.
Повседневный опыт: выворачивание ткани или одежды обратной стороной (по отношению к лицевой) наизнанку. Пример: выворачивание наизнанку панамы.
Упражнение 1. Выполните предыдущую задачу самостоятельно со своими примерами.
Важнейшие факты
Теорема 1
Композиция двух инволюций и является инволюцией тогда и только тогда, когда они коммутируют: .
Доказательство теоремы 1
Пусть дана композиция , в которой , — инволюции. Это означает, что и , а также .
Имеем:
Если — инволюция, то двигаемся слева направо. Обратно, если выполняется равенство , то справа налево.
Доказательство по схеме УТВЕРЖДЕНИЕ—ОБОСНОВАНИЕ
Дано: инволютивные функции , , равенство .
Доказать, что — инволюция.
Шаг
Утверждение
Обоснование
1
Напишем .
Условие.
2
Далее .
Пункт 1, условие, определение и основное свойство инволюции [1], симметричность отношения равенства, подстановка в формулу.
3
Тогда .
Пункт 2, условие, определение и свойство композиции двух функций.
4
Теперь получим следующее: .
Пункт 3, определение композиции двух функций, симметричность отношения равенства.
5
Наконец, приходим к тому, что — инволюция, что и требовалось доказать.
Пункт 4, определение функции, признак инволюции.
Пример 1. Такая композиция есть инволюция.
Аналогично, если и , , — инволюции, то и — инволюция.
Пример 2. , , .
Теорема 2
Если — монотонно возрастающая функция, то уравнения и равносильны.
Рассмотрим следующую задачу.
Пример
Решить уравнение .
Перепишем данное уравнение в виде:
Рассмотрим теперь функцию
Тогда полученное уравнение примет вид:
Для решений уравнений такого вида применим теорему 2. Но сначала следует убедиться, что введённая функция действительно монотонно возрастает.
Для того чтобы была строго возрастающей, достаточно (но не является необходимым условием), чтобы . В нашем
случае получается
В соответствии с приведённой теоремой 2 приходим к равносильному уравнению , или , решение которого уже не сложно.
Ответ:
Теорема 3. Функция вида (где — некоторое биективное отображение) будет инволюцией в том и только в том случае, если функция — инволюция.
Доказательство
Имеем следующее:
Если является инволюцией, то двигаемся слева-направо. Обратно, если — инволюция, то справа-налево.
Теорема доказана.
Замечание. Ясно, что теорема 3 сохраняет свою силу, если , где — биекция.
Пример 3. В положительных числах такая функция будет как раз инволюцией по доказанной выше теореме:
Интересно будет посмотреть на график этой инволюции, чтобы заметить его симметричность относительно прямой :
В более общем случае инволюцией на плоскости является симметричное отражение относительно прямой.
И это не удивительно! Если функция является инволюцией, то она является обратной самой себе. На нашем примере это можно легко показать, если поменять местами x и y:
Следствие 1
Пусть — инволюция на множестве . Тогда если — взаимно-однозначное отображение [биекция] множества на с обратной биекцией , то композиция — инволюция на множестве .
Доказательство
Утверждение очевидно по предыдущему.
Указание. Воспользоваться теоремой 3.
Теорема 4
Пусть — инволюция на множестве . Если — такое отображение из в , что , то и — инволюции на .
Доказательство
Покажем, что из исходного равенства и условия получается инволютивная функция . Итак,
Таким образом, композиция по определению является инволюцией. Аналогично проводится доказательство для .
Следствие 2
Если — такое отображение из в , что , причём и — инволюции на . Тогда — инволюция на множестве .
Пусть дана функция , где — биекция, а . Выяснить, при каком условии будет инволютивной.
Решение. Во-первых, функция будет инволюцией, если выполняется равенство: .
Во-вторых, стоит заметить, что .
Поэтому .
Но по следствию композиция является инволюцией, а значит, и — тоже инволюция.
Наконец,
, то есть
Ответ:
Пример 4. Функция .
Упражнение 2. Убедитесь, что представленная функция действительно обладает таким свойством.
Схемой, или строением, функции назовём последовательность функций так, что каждая из них является либо элементарной, либо инволюцией и .
Пример 5. Пусть , , . Тогда схемой функции будет .
Пусть функции , , , а также сумма — инволюции. Докажите, что тогда выполняется равенство:
Решение.
Пользуясь условием, что каждая из подфункций, а именно: и , инволютивны, можем написать в силу теоремы 1 следующее равенство:
Далее следует правую часть преобразовать:
Поскольку верны равенства: и , то
Задача решена.
Наконец, доказательство последнего и довольно важного утверждения в качестве упражнения проведите самостоятельно.
Упражнение 3. Докажите, что если и , то — инволюция.
Специальную функцию назовём вспомогательной для функции , если существует, причём она инволютивна, и выполняется равенство:
Пример 6. Для любой функции вида , вспомогательной функцией будет , где — некоторая константа. Ну действительно
Пример 7. Функция — вспомогательная для , где — любое действительное, отличное от нуля, число; поскольку
Теорема 5
Пусть для функции существует такая функция , что обе эти функции коммутируют: . Для того чтобы выполнялось равенство , верное для обратной функции , необходимо и достаточно, чтобы было инволюцией.
Доказательство
Пусть дана композиция .
Имеем:
Если — инволюция, то и двигаемся слева направо. Обратно, если выполняется равенство , то справа налево.
Теорема 6
Первообразная (другими словами, функция есть производная от функции ), причём константа , является инволюцией, если и только если выполняется равенство: .
Упражнение 4. Докажите этот факт самостоятельно.
Упражнение 5. Найдите ошибки в решении следующей задачи. Исправьте их. Сформулируйте по-новому задачу и решите её.
Задача. Доказать, что первообразная функции является инволюцией.
Решение.
Найдём . Имеем:
Дробь, обратная , равна разности .
Наконец, подставим в :
Легко убедиться в том, что для полученной в предыдущем пункте функции верно равенство:
Действительно,
Проверим, что искомая функция инволютивна. Итак,
Следствие 3
Фокус
Целое общество гостей, непосвящённых в арифметические тайны, вы можете поразить следующим фокусом.
Фокусник просит одного человека написать на бумажке, секретно от него, трёхзначное число, какое этот человек хочет, и затем просит приписать к нему ещё раз то же самое число. Получится шестизначное число, состоящее из трёх повторяющихся цифр. Фокусник предлагает тому же товарищу или его соседу разделить — секретно от него — это число на 7; при этом фокусник заранее предсказывает, что остатка не получится. Результат деления передаётся соседу, который, по предложению ведущего, делит его на 11; и хотя фокусник не знает делимого, он всё же смело утверждает, что и оно разделится без остатка. Полученный результат фокусник направляет следующему соседу, которого просит разделить это число на 13 — деление снова выполняется без остатка, о чём он заранее предупреждает. Результат третьего деления фокусник, не глядя на полученное число, вручает первому товарищу со словами:
— Вот число, которое вы задумали!
— Так и есть: вы угадали.
Упражнение 6. Какова разгадка этого фокуса?
Указание. Возьмите за функцию алгоритм приписывания к числу , то есть . Так как результат совпадает с исходным числом , то над числом — это умножение его на 7, 11 и 13. Осталось найти связь и .
Инвариантные точки инволюции
Бывает так, что у некоторого отображения (функции) есть так называемая инвариантная, или неподвижная, точка.
Допустим, что некоторый шар заполнен песком. Если мы встряхнем этот шар, то все песчинки немного изменят своё положение. Но, оказывается, что есть такая песчинка, которая останется неподвижной.
Определение. Точка — неподвижная у данного отображения выполняется условие инвариантности: .
Если — инволюция, то для неё возможны три случая:
имеет ровно 2 различные неподвижные точки;
имеет только 1 неподвижную точку;
не имеет неподвижных точек.
❗ Решить инвариантную задачу о неподвижных точках — значит найти (предъявить) все неподвижные точки функции или доказать, что их нет.
Утверждение 1. Если на рассматриваемом множестве имеет неподвижных точек, то на его любом подмножестве имеет не больше, чем , неподвижных точек.
Утверждение 2. Если на рассматриваемом множестве имеет неподвижных точек и , то на множестве отображение имеет не меньше, чем , неподвижных точек.
Утверждение 3. Если — инволюция с областью определения , то функция имеет счётное число неподвижных точек.
Упражнение 7. Докажите, что функция имеет одну неподвижную точку [Какую?].
Задача. Решить инвариантную задачу для функции .
Решение. Пусть — неподвижная точка, тогда должно выполняться условие инвариантности: , то есть . Иными словами, решим уравнение при . Ясно, что .
Ответ: функция в не имеет неподвижных точек.
Задача. Решить инвариантную задачу для функции .
Решение. Заранее скажем, что . Положим: — неподвижная точка. Решим уравнение . Преобразуем его: ; это квадратное уравнение с чётным средним коэффициентом. Поэтому решения таковы:
Здесь 2 ситуации:
если и , то неподвижных точек нет;
если же хотя бы одно из предыдущих неравенств не выполняется (т. е. верно или ), то функция имеет ровно 2 неподвижные точки, которые вычисляются по вышенаписанной формуле.
Упражнение 8. В разделе «Примеры» решите инвариантные задачи для оставшихся функций. Ответьте на вопросы:
Какие из них:
имеют 2 неподвижные точки;
имеют 1 неподвижную точку;
не имеют таковых?
Подумайте: с чем это может быть связано?
Найдите неподвижные точки функции . Сколько их?
Какая приходит Вам в голову ассоциация, связанная с неподвижными точками? Приведите соответствующий пример из своего жизненного опыта.
Упражнение 9. Дано уравнение .
В чём заключается функциональная особенность данного уравнения?
Какую функцию необходимо выделить, чтобы обосновать Ваш ответ на предыдущий вопрос?
Найдите неподвижную точку этой функции.
Какой теоретический факт связан с такого рода уравнениями и соответствующими функциями?
Упражнение 10. Для квадратичной иррациональности ( ) найдите неподвижные точки.
Указание. Примите её за функцию.
Ответ:
Теорема о переходе
Уравнение эквивалентно совокупности двух уравнений и , где — инволюция.
Пример 8. Уравнение как бы "распадается" на два уравнения: или .
Лирическое отступление
Пример функции такой, что .
Приведём пример композиции двух инволюций, которая не будет уже инволюцией.
Пример. Функция не является инволюцией; её строение таково: , где и у нас — обе инволюции.
Упражнение 11. Докажите: для верно, что .
Замечание. Функция со схемой также не есть инволюция.
Легко видеть, что — инволюция. Делаем вывод, что композиция инволюции и неинволютивной функции может давать инволюцию в результате. Вопрос: в каком случае это происходит?
Перед тем, как ответить на этот вопрос, сперва-наперво выясним, а каким свойством, в принципе, обладает введённая функция .
Вычислим . У нас получится:
Значит, .
Решить уравнение .
Шаг 0 Введём в рассмотрение функцию . Вычислим . У нас получится:
Значит, .
Шаг 1 Уравнение перепишется в виде: .
Шаг 2 Подставим везде, где есть , функцию . Получим:
Но так как , то .
Поэтому .
Шаг 3 Теперь из результатов Шага 1 и Шага 2 делаем простой вывод:
Шаг 4 Подставим везде, где есть , функцию . Имеем:
Шаг 5 Наконец-то, мы
Шаг 6 Подставим выражение во вторую строчку системы. Итак,
Ответ: , или
Упражнение 12. Решить уравнение .
Другой способ. Рассмотрим правило , где — произвольное математическое выражение.
Продолжим "цепочку":
.
Или: .
Последнее эквивалентно равенству при , причём , где .
Ответ:.
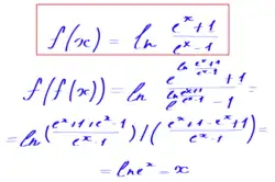
Пример функции, обладающей удивительным свойством
Рассмотрим следующую функцию: . Тогда её обратная равна .
Функция обладает удивительным свойством для её коэффициентов дроби в числителе и знаменателе.
Задание последовательности
Пусть дана в таблице последовательность .
Её можно продолжать и далее, а формула общего члена такая: .
Легко доказать тот факт, что если , то есть
— число, предшествующее числу , а
— число, последующее за ,
то . Проверить это можно так:
Поэтому , что верно. Заметим также, что , а .
Числитель и знаменатель дроби
Введём обозначения:
Составим дробь и её обозначим как . В дальнейшем будет показано объяснение такого обозначения.
Упражнение 13. Найдите при . Сделайте вывод.
Теорема 1. , где .
Упражнение 14. Докажите теорему 1. Напишите формулу из этой теоремы при [это следствие].
Основной факт
Теорема 2. , где .
Инволюция в алгебре
Перестановка является инволюцией, если , каждая инволюция является произведением непересекающихся транспозиций, например:
(первые значения : 1, {{w:nums|link=nrl|1|2|4|10|26|76|232|764|2620|9496|35696|140152}}[2]).
Свойства инволюции обеспечивают ей широкое применение в различных приложения, например, инволютивные преобразования над пространством булевых векторов используются в различных схемах построения симметричных криптоалгоритмов, таких как сети Фейстеля и подстановочно-перестановочные сети.
Примечания
↑Функция, обратная к инволюции, совпадает с самой инволюцией