Основы теоретической физики/Тензор энергии-импульса электромагнитного поля
2.4.15. Тензор энергии-импульса электромагнитного поля
Мы получили общие, справедливые для любой системы, формулы для тензора энергии-импульса. Применим эти формулы к электромагнитному полю.
Для электромагнитного поля выражение (2.4.117)
представляет собой формулу (2.4.45)
Очевидно, что в данном случае, роль обобщенных координат q играют компоненты 4-потенциала поля Al, поэтому для тензора энергии-импульса (2.4.128)
получаем:
Или для контрвариантных компонент:
Полученный тензор не симметричен, а значит не удовлетворяет закону сохранения импульса (2.4.139)
. Для симметризации надо добавить к (2.4.152)
величину:
Можно показать, что эта операция не повлияет на закон сохранения (2.4.129)
и не изменит полный импульс системы. Поэтому из (2.4.153) и (2.4.152) для тензора энергии-импульса электромагнитного поля без зарядов, получим окончательное выражение:
В общем случае, тензор энергии-импульса системы, находится как сумма тензоров энергии-импульса электромагнитного поля и частиц. Для определения вида тензора энергии-импульса частиц необходимо описывать распределение масс в пространстве с помощью функции «плотности массы». По аналогии с формулой для плотности распределения зарядов, плотность массы можем записать:
Где - радиус-векторы частиц, а суммирование ведется по всем частицам системы.
Заметим, что плотность массы (2.4.155)
— это такая функция, объемный интеграл от которой, равен полной массе всех частиц:
Аналогично можно определить и плотность 4-импульса:
Компоненты 4-импульса частиц находятся по формуле (2.3.54)
, поэтому для плотности 4-импульса получаем:
Пусть — это некоторая гладкая векторная функция координат, которая в каждой точке , совпадает с 4-скоростью . При интегрировании по объему тогда получим:
Значит плотность импульса можно записать в виде:
С другой стороны, плотность импульса находится через тензор энергии-импульса по формуле (2.4.137)
, значит:
Пользуясь аналогией с плотностью зарядов, плотность массы (2.4.155)
можно представить как временную компоненту 4-мерного вектора тока (2.4.158)
Значит, домножив на c2Ui, получим все компоненты тензора энергии импульса в виде:
Наконец, заменив производную 4-координаты по времени в (2.4.163)
через 4-скорость, получим окончательное выражение для тензора энергии-импульса невзаимодействующих частиц:

Если в (2.4.164)
взять производную интервала по времени, то получим эквивалентное выражение для тензора энергии-импульса через «плотность собственной массы» частиц:
Где ma0 — это «собственная масса» частиц в системе отсчета, относительно которой частицы неподвижны.
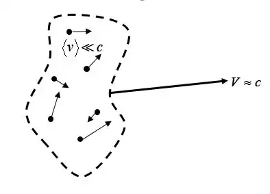
Отметим, что если скорости точечных частиц, относительно друг друга, малы по сравнению со скоростью света, то систему частиц можно рассматривать как составные части единого, макроскопическое тела и тогда формулу (2.4.165)
можно использовать для вычисления компонент тензора энергии-импульса такого тела. Скорость системы как целого, при этом, может быть релятивистской.
Если скорость движения макроскопического тела много меньше скорости света, то можно пренебречь всеми пространственными компонентами 4-скорости Ui и Uk, оставив только временную, которая равна единице. То есть в нерелятивистском приближении получаем, что ненулевой остается только одна компонента тензора энергии-импульса:
См. также
<<Назад | Далее>>
Оглавление