Управление техническими системами
Глава 1
Предмет ведения ТАУ ТС.Управление. Классификация САУ. Дифференциальные уравнения в мат. описании САУ. Изучаемые теории САУ их уравнения.
Данный курс называется полностью "теория автоматического управления в технических системах" (ТАУ ТС), в дальнейшем будет использоваться название "Управление техническими системами" и сокращение УТС. Тем , кто не является инженером или не обучается на него для понимания предмета курса не лишним будет уточнить следующие термины
Автоматика - отрасль науки и техники, охватывающая совокупность методов и технических средств , освобождающих человека от непосредственного выполнения операций по контролю над производственными процессами и техническими устройствами.
Кибернетика - наука об общих закономерностях процессов управления в различных системах. Она может подразделяется на медицинскую, биологическую и техническую кибернетику.
Управление - переведение системы из состояния А в состояние Б путём управляющего воздействия. Как правило данное воздействие осуществляется малыми массами и энергиями на объект большой массы и энергии.
Автоматизация - замена умственной деятельности человека работой автоматов ( Для сравнения - механизация заменяет мускульную силу человека) .
Техническое устройство - совокупность машин и механизмов, выполняющих определённую функцию по преобразованию энергии и совершению полезной работы.
Обобщённая схема управления имеет следующий вид:
Хорошим примером такой системы является цепочка Разведка-Командир-Воинское подразделения, в которой командир на основании разведки вырабатывает управляющее воздействие для своих подчинённых. Если взять пример из техники, то в роли "разведки" может выступать например датчик углового перемещения в инерциальном пространстве(гироскоп), исполнительным устройством будет двигатель, который выставит платформу в соответствии с показаниями гироскопа, а "командиром" будет передающее звено, определяющее коэффициент усиления системы.
Частный случай управления - регулирование = выдерживание какого-либо параметра в соответствии с задающим сигналом. Наглядный пример- действия подчинённого, которому приказали при попытке атаки противника стрелять из пулемёта. Как видим число атакующих является параметром, которое надо выдерживать, с другой стороны это число влияет на поведение подчинённого. У нас таким образом замкнутая система регулирования. Графически она представляется так:
Где
g(t)-Задающее воздействие (Комманда коммандира)
x(t) - Регулируемая величина (Число атакующих)
e(t) - Ошибка регулирования =g(t)-x(t) (Число тех, кого надо застрелить из пулёмёта, чтобы выполнить приказ коммандира)
На основании g(t) Регулятором формируется регулирующее воздействие u(t) ( Огонь из пулёмёта). Также у нас есть возмущающее воздействие f(t), которое приводит к появлению e(t) ( Например кто-то из атакующих стал передвигаться ползком) . Есть возмущающие воздействия , которые поддаются измерению, а есть неподдающаяся.
Классификация САУ
- I. По виду задающего воздействия
- g=const -систематическая стабилизация.
- g(t) = переменная - следящая стабилизация
- g(t) = переменная, нет обратной связи - система программного регулирования.
- II По наличию/ отсутствию ОС.
- Отсутствует ОС (разомкнутая система)
- Присутствует ОС (замкнутая система)
- III По виду энергии.
- Механическая
- Электрическая
- IV. По принципу регулирования
- Регулирование по отклонению (e(t) )
- Регулирование по возмущению (f(t))
- Комбинированная система.
Системы бывают одномерными и многомерными. У многомерных систем есть несколько задающих воздействий и регулируемых величин.Имеются также адаптивные системы (будут подробно рассмотрены позже) . Они делятся на ( от самой "тупой" до самой "интеллектуальной" )
- Самонастраивающиеся
- Самоорганизующиеся
- Саморегулирующиеся.
Системы автоматического управления (САУ) описываются с помощью математической модели. Решение данной модели позволяет прогнозировать её свойства и реакцию на те или иные действия. При описании матмодели чаще всего используются дифференциальные уравнения. Напомним, что дифференциальные уравнения , это уравнения, состоящие помимо самой переменной x, из производных этой переменной различного порядка , н. dx/dt (первая производная) (вторая производная).
Если в уравнениях используются только первые степени x и их производных, то это линейные дифуравнения. Они решаются чаще всего методом подстановки c последующим нахождением l . Мы в данном курсе будем чаще всего их решать с помощью S-преобразования в алгебраические уравнения.
В данном учебнике будут изучаться теории
- Линейных САУ (основная часть курса)
- Нелинейных САУ
- Дискретно-непрерывных САУ
- Теория стохастических САУ.
Линейные системы описываются линейными дифуравнениями вида:
Если , то это стационарная система, а если зависит от t, то нестационарная. Нелинейные системы соответственно записываются нелинейными дифуравненими:
У дискретно-непрерывных систем будут уравнения:
В стохастических САУ используют процессы вероятностного характера.
Глава 2
Обобщённая схема САР. Элементы автоматики. Типовые виды воздействий .Математическое описание САР.
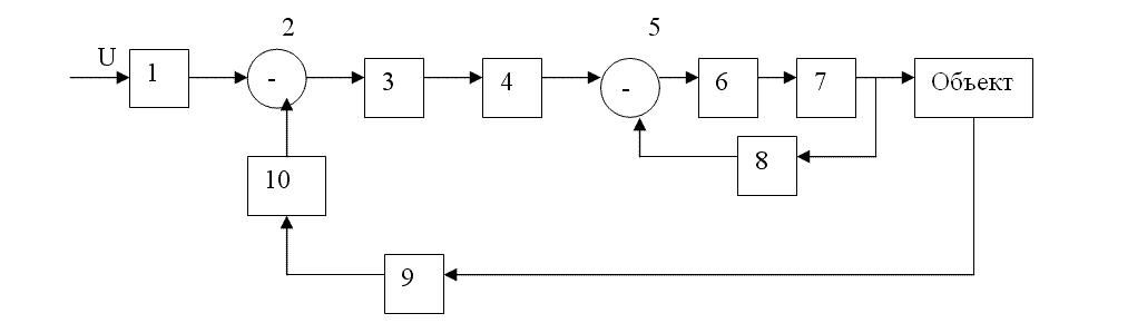
Обобщённая функциональная схема САР имеет такой вид:
Элементы 1-3, 9,10 составляют датчик , а 4-8 - севромеханизм.
Расшифровка элементов.
- 1. Измерительные элементы входного сигнала. Преобразует его к форме, удобной для последующего сравнения.
- 2.Сравнение - вырабатывает сигнал ошибки , сравнивая истинный сигнал с сигналом на выходе.
- 3.Преобразователь сигнала ошибки - преобразует сигнал в форму, удобную для последующего усиления.
- 4. Последовательное корректирующее устройство. Исполнительное устройство чаще всего имеет фиксированную зависимость выходного сигнала от входного, не совпадающей с требуемой - для реализации требуемой функции необходимо преобразовать входной сигнал так, чтобы, будучи отработан исполнительным устройством, он бы давал нужную нам зависимость между выходом и входом.
- 5. Сравнение - местная обратная связь.
- 7. Исполнительное устройство - непосредственно воздействует на объект регулирования.
- 8. Параллельные корректирующие устройства для местной ОС - для той же цели , что 4, но тут соответствующим образом изменяется не входная информация, а информация от ОС.
- 9. Измерительное устройство истинного значения регулируемой величины.
- 10. Преобразователь главной обратной связи. Позволяет преобразовать сигнал измерителя к форме , удобной для сравнения.
Элементы автоматики подразделяются на
- -Измерительные
- -Промежуточные
- -Исполнительные
Промежуточные делятся на
- -Усилительные
- -Преобразовательные
- -Вычислительные.
При изучении свойств САР были установлены некоторые типовые воздействия ,реакция на которые достаточно полно характеризует эти свойства. Наиболее частым воздействием является ступенчатое воздействие. Ступенчатое воздействие означает , что входной сигнал скачком изменил своё значение с А на Б. Для линейных систем реакцию на любое такое воздействие можно понять, зная реакцию на единичное воздействие (А=0, Б=1). Закон , мгновенно вступающий в силу с такого то времени является таким ступенчатым воздействием. Реакция на сие воздействие - переходная функция системы. Реже используется импульсное воздействие. В идеале это воздействие с бесконечной амплитудой за бесконечно малый промежуток времени. Реакция на них - импульсная переходная функция. Ещё реже используется прямоугольная волна ( ступенчатое воздействие от А до Б , через период T/2 от Б до А, через период Т всё повторяется), синусоидальное воздействие и т.д. Ещё есть дискретное воздействие заключающаяся в подаче импульсов разной амплитуды через определённые промежутки времени.
Математическая модель системы может строиться на априорной информации ( до опыта, из теоретических соображений) и на экспериментальной информации. Чаще всего в технике (при разработке системы) используют априорную информацию. Перед построением мат модели часто полезно построить схему той или иной системы. Так как исторически наиболее хорошо проработанными являются схемы электрические , то про построении схем механических и других процессов используют метод электроаналогии, когда процесс, имеющий то же математическое описание, что и электрический обозначают тем же электрическим элементом. Чтобы продемонстрировать этот метод распишем электрические обозначения и их аналоги в механике( наиболее часто используемая аналогия) и в производящей системе.
| Электрический знак | Расшифровка | Механическая аналогия |
|---|---|---|
![]() |
Источник ЭДС (E).ЭДС «расходуется» на различных элементах, на которых падает напряжение u | Источник движения со скоростью(V) |
| Источник тока (i) | Тяга, создающая силу F | |
| Резистор ( с сопротивлением R) u=iR | Демпфер, сопротивляющийся с силой F=V/d | |
| Индуктивность (L) u=L*di/dt | Пружина F=kx или V=(dF/dt)/k | |
| Коденсатор (C) i=C*du/dt | Обычное тело F=ma=m*dv/dt |
Глава 3
Преобразование Хевисайда. Преобразование Лапласа. Устойчивость системы. Условие устойчивости. Критерий устойчивости Гурвица и Льенара-Шипара. Общая постановка задачи устойчивости.
Как уже говорилось, линейные системы описываются с помощью дифференциальных уравнений. Ввиду их относительной сложности сведение их к уравнениям алгебраическим сильно упростит задачу их решения. Методика такого сведения была впервые предложена Хевисайдом. Суть её в том, чтобы заменять взятие производной умножением на оператор p. Таким образом уравнение
- (3.1)
примет вид
- (3.2)
Метод широко применяется в электротехнике. Его недостаток - то, что не учитываются начальные условия- значение x , u и их производных при t=0.
Этого недостатка лишено более строгое математическое преобразование - преобразование Лапласа. Суть этого преобразования заключается в записи вместо х(t) некоего x(s) причём
- (3.3)
На деле преобразование проводится по таблицам.Ниже представлена таблица преобразования Лапласа для некоторых функций Ниже представлена таблица преобразования Лапласа для некоторых функций.
| № | Функция | Временная область |
Частотная область |
Область сходимости для причинных систем |
|---|---|---|---|---|
| 1 | идеальное запаздывание | |||
| 1a | единичный импульс | |||
| 2 | запаздывание -го порядка с частотным сдвигом | |||
| 3 | экспоненциальное приближение | |||
| 4 | синус | |||
| 5 | косинус | |||
| 6 | гиперболический синус | |||
| 7 | гиперболический косинус |
После решения системы производится обратное преобразование. Уравнение в операторной форме имеет вид
- или
- или
- A(s)*x(s)=B(s)*u(s) (3.4) где A(s), B(s) - полиномы из степеней s.
В такой форме записи существует такое понятие, как передаточная функция W(s).
- W(s)=x(s)/u(s)=B(s)/A(s).
Очень часто W(s) можно разложить на несколько множителей, среди которых типовые множители ( звенья ) такие:
- Wi(s)=const -усиливающее звено.
- Wi(s)=1/(Ts+1)- апериодическое звено.
- Wi(s)=- колебательное звено.
- Wi(s)=1/s- интегрирующее звено.
- Wi(s)=Ts- дифференцирующее звено.
- Wi(s)=Ts+1- дифференцирующее звено 1-го порядка.
- Wi(s)= - дифференцирующее звено 2-го порядка.
Как уже упоминалось, решение дифференциального уравнения делится на общее однородное и частное неоднородное.
- (3.4)
Если система при устремление t к бесконечности решение будет приближаться к частному неоднородному, что система устойчива. Если разница при устремлении t к бесконечности не будет стремится к 0, а будет стремится к бесконечности, то система неустойчива. Если не будет стремления ни к 0 не к бесконечности, то перед нами пограничный случай.Ясно, что неустойчивая система ведёт к непредсказуемым результатам, выходящим за рамки возможностей любой реальной системы, что приведёт или к её поломке и/или к неполучению нужного результата. Поэтому задача анализа системы на устойчивость является принципиальной при работе с системами. Уже отмечалось, что решение дифференциального уравнения первого порядка производится методом подстановки . Для уравнения n-го порядка решение будет иметь вид:
- (3.5)
В общем случае все коэффициенты комплексные и равны Совершенно очевидно, что решения будет устойчиво только в том случае, если все , иначе система будет неустойчива (Экспонента с положительным показателем стремится к бесконечности). Не всегда, однако система является линейной и её так просто решить и проверить на устойчивость. В этом случае на помощь приходят теоремы Ляпунова, которые позволяют определить устойчивость только лишь линеаризованной части системы и на этом основании сделать вывод о всей системе.
1-я теорема Ляпунова. Если все корни характеристического уравнения линеаризованной системы находятся в отрицательной действительной части комплексной плоскости (т.е. ), то исходная нелинейная система устойчива.
2-я теорема Ляпунова. Если хотя бы один корень характеристического уравнения линеаризованной системы находятся в положительной действительной части комплексной плоскости (т.е. ), то исходная нелинейная система неустойчива.
Если линейная система получилось нейтральной, то по ней нельзя судить об устойчивости и надо рассматривать нелинейную систему. Такой случай называется критическим. Также для решения систем используют запись уравнений в отклонениях от положения равновесия. Поясним: Пусть у нас есть уравнение Пусть у нас есть точка равновесия при со значениями . Тогда записав помещают точку равновесия в 0, решая уравнения . Видно, что запись в такой форме не влияет на путь сходимости, а только её точку.
Одним из наиболее распространённым способом определения устойчивости системы является метод Гурвица. Пусть у нас есть уравнение, записанное в операторной форме.
- (3.6)
Тогда , если и матрица формы имеет вид:
- (3.7) -Матрица Гурвица
Если все диагональные миноры этой матрицы положительны, то система устойчива. Это критерий устойчивости Гурвица. Напомним:
Диагональные миноры- это миноры, включающие в себя n первых диагональных элементов, если размерность минора n*n.
Минор - определитель квадратной матрицы, полученная путём "взятие" из основной матрицы n любых строк и столбцов. (Т.е. сначала выбираем из матрицы n строк, потом в этих строках n столбцов. Получится матрица размером n*n). Под положительностью минора понимают положительность его определителя.
Определитель - для матрицы 2*2 вида
Для матрицы 3х3 это сумма элементов 3-й стоки , умноженных на миноры, не содержащие той же строки и того же столбца, что и эти элементы. Аналогично для матриц более высокого порядка. Было доказано, что необязательно вычислять все диагональные миноры, а можно вычислить только чётные или нечётные и если они положительны, то система устойчива. Это- критерий устойчивости Льенара-Шипара.
Глава 4
Описание САР в терминах пространства состояния. Управляемость и наблюдаемость САР. Методы анализа САР.
Уравнения, которые описывают САР могут быть достаточно большого порядка. Как известно, уравнения выше 5-го порядка являются неразрешимыми, поэтому лучше описывать САР в таких переменных, которые давали бы уравнения не выше 1-го порядка. Такие переменные - переменные состояния. Совокупность переменных, описывающих систему называется пространством состояний. В терминах пространства состояний любую систему, которая на входной сигнал u даёт сигнал x описать уравнением:
- (4.1)
- - вектор состояний
- -вектор управляющих переменных ( управления)
- - матрица состояний
- - матрица управления.
Напомним, что умножение матрица размерностью nxm на вектор m происходит таким образом: 1. Записываем шаблон для вектора результата с местом для n элементов. 2. В первую строку результирующего вектора записываем сумму произведений элементов первой строки матрицы на столбец вектора. 3. Во вторую строку результирующего вектора записываем сумму произведений элементов второй строки матрицы на столбец вектора. И т.д.
Никакая САР невозможна без измерения своих сигналов -иначе мы просто не будем знать, выполняет ли она заданную функцию или нет. Существует специальное обозначение - вектор измерений. Мы можем измерять как любую переменную состояния системы, так и любое управляющее воздействие, а также любую их комбинацию. Поэтому вектор наблюдаемых переменных как правило не идентичен вектору состояний. В самой общей форме уравнения измерения будет иметь вид:
- , где С -матрица измерений, D - матрица прямой передачи
Поясним на примере составление уравнения в переменных состояния. Пусть у нас есть уравнение
- (4.3)
Введём обозначение
- (4.4.1)
- (4.4.2)
Тогда имеем
- (4.5.1)
- (4.5.2)
или
- (4.6)
Если систему за конечное время можно перевести из состояния в состояние путём сигнала u, то система является управляемой по входу. Если тоже можно сделать для y, то система является управляемой по выходу.
Для определения управляемости есть критерий Калмана. Его вывод входит в курс вариационного исчисления, посему мы здесь приводить его не будем , а ограничимся лишь его написанием: Пусть у нас есть матрица: если её определитель не равен 0, то система управляемая. Видно, что при больших размерностях А и В проверка по данному критерию возможна лишь на вычислительных устройствах. Система считается наблюдаемой , если все переменные состояния в любой момент времени можно определить по значениям (t) . Критерий наблюдаемости - если у матрицы:
- определитель не равен 0, то система наблюдаема.
Существует несколько методов анализа САР. Большинство из них основаны на том, что любую функцию x(t) возможно разложить в ряд Фурье представив их как сумму функций вида:
- (4.7)
Производная n-го порядка будет иметь вид Как видно в этом случае будет обратным преобразованием оператора s. Поэтому заменив s на в передаточной функции W(S) мы можем провести анализ системы на различных частотах.
Например, построив W на комплексной плоскости, в зависимости от всех частот мы получим амплитудно-фазовую частотную характеристику (АФЧХ или годограф). С помощью неё можно получить много информации о системе. Часто , однако строят отдельно зависимость амплитуды и фазы W в зависимости от частоты. Причём частоту и амплитуду обычно строят в логарифмическом масштабе (делениями 1, 10 и т.д.) Получаются логарифмическая амплитудная характеристика (ЛАХ) и ФЧХ.
Глава 5
Типовые динамические звенья, их переходные процессы и АЧХ.
1. -Усиливающее звено Оно не имеет переходного процесса, после его включения в цепь сигнал усиливается в k раз т.е. =kx
Приближённая ЛАХ и ФЧХ имеют вид:
Эквивалентная электрическая схема этого звена имеет вид:
Изображённый на схеме элемент - операционный усилитель, у которого параметры обратной связи подобраны так, чтобы он усиливал в k раз.
2. -апериодическое звено.
Приближённая ЛАХ и ФЧХ имеют вид:
Эквивалентная электрическая схема этого звена имеет вид:
3. - колебательное звено.
Приближённая ЛАХ и ФЧХ имеют вид:
Эквивалентная электрическая схема этого звена имеет вид:
4. - интегрирующее звено.
Приближённая ЛАХ и ФЧХ имеют вид:
Эквивалентная электрическая схема этого звена имеет вид:
5. - дифференцирующее звено
- - т.е при единичном воздействии будет переходной процесс в виде импульса бесконечной амплитуды на бесконечно малом промежутке времени.
6. - дифференцирующее звено 1-го порядка.
- -
7. -дифференцирующее звено 2-го порядка.
8. - Звено чистого запаздывания.
Задание для самостоятельной работы к главе - построить ЛАХ, ФЧХ и эквивалентную электрическую схему для остальных элементов.
Глава 6
Cтруктурные преобразования САР.Принцип агрумента. Критерий Михайлова.
Рассмотрим основные преобразования САР по замене многих элементов одним или по их перенесению, так, чтобы передаточная функция оставалась неизменной.
Литература
- Солодовников В.В., Плотников В.Н., Яковлев А.В. Теория автоматического управления техническими системами
- Под ред. Пупкова К.А. , Егупова Н.Д. Методы классической и современной теории автоматического управления








