Азины (ациклические)

Азины — производные гидразина общей формулы RR1C=N-N=CRR1, где R и R1 — органические радикалы или атомы водорода. Формально являются продуктами конденсации одного моля гидразина с двумя эквивалентами карбонильного соединения[1]. Азины — продукты конденсации гидразина с альдегидами называются альдазинами[2], продукты конденсации кетонов с гидразином — кетазинами[3].
Свойства и реакционная способность
Низшие алифатические азины — жидкости, высшие, ароматические и гетероциклические — кристаллические вещества, нерастворимые в воде и растворимые в органических растворителях. Азиновая группа является слабой хромофорной группой, вследствие чего большинство азинов окрашены и многие способны к флуоресценции.
Азины являются слабыми основаниями и образуют окрашенные соли с сильными кислотами, которые могут циклизоваться в пиразолины и пирролы. Под действием избытка гидразина азины превращаются в гидразоны:
- RR1C=N-N=CRR1 + N2H4 → 2 RR1C=N-NH2
При нагревании азины отщепляют азот с образованием алкенов:
- RR1C=N-N=CRR1 → RR1C=CRR1 + N2
Кетазины присоединяют хлор с образованием α,α'-дихлоразосоединений:
- R1R2C=N-N=CR3R4 + Cl2 R1R2CCl-N=N-CClR3R4
Синтез

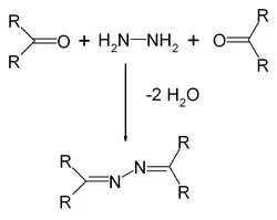
Классическим методом синтеза азинов является конденсация карбонильных соединений с гидразином в водной или спиртовой среде:
- 2 RR1CO + N2H4 → RR1C=N-N=CRR1
Выходы в этом методе составляют 70-90 %, однако он пригоден только для синтеза симметричных азинов.
Вариантом этого метода явлеется синтез азинов из спиртов при их дегидрировании до карбонильных соединений in situ в присутствии гидразина с использованием в качестве катализаторов дегидрирования комплексов никеля[4] или рутения[5],[6]:
Несимметрические азины могут быть синтезированы взаимодействием гидразонов с карбонильными соединениями либо иминами:
- RR1C=N-NH2 + R2R3C=NH → RR1C=N-N=CR2R3 + NH3
Применение
Образование этилметилкетазина (либо диметилкетазина) из гидразона и кетона является одной из стадий в промышленном процессе синтеза гидразина окислением аммиака перекисью водорода (en:Pechiney-Ugine-Kuhlmann process), в котором полученный аммонолизом оксазиридина гидразон конденсируется с кетоном с образованием азина, гидролизом которого регенерируется исходный кетон и получается целевой продукт — гидразин[7]:
Хлорирование кетазинов с дальнейшим замещением хлора в образующихся при хлорировании α,α'-дихлоразосоединениях различными нуклеофилами используется для синтеза функционализированных алифатических азосоединений:
- R1R2C=N-N=CR3R4 + Cl2 R1R2CCl-N=N-CClR3R4
- R1R2CCl-N=N-CClR3R4 + 2 X- R1R2CX-N=N-CCX3R4 + 2 Cl-
- X = RS-, CN-, CH3COO-, R53Al X = R5
Примечания
- ↑ azines // IUPAC Gold Book. Дата обращения: 7 февраля 2011. Архивировано 2 августа 2011 года.
- ↑ aldazines // IUPAC Gold Book. Дата обращения: 7 февраля 2011. Архивировано 7 июля 2011 года.
- ↑ ketazines // IUPAC Gold Book. Дата обращения: 7 февраля 2011. Архивировано 29 ноября 2010 года.
- ↑ Chakraborty, Mou; Sengupta, Debabrata; Saha, Tanushri; Goswami, Sreebrata (3 августа 2018). Ligand Redox-Controlled Tandem Synthesis of Azines from Aromatic Alcohols and Hydrazine in Air: One-Pot Synthesis of Phthalazine. The Journal of Organic Chemistry. 83 (15): 7771–7778. doi:10.1021/acs.joc.8b00661. ISSN 0022-3263. Дата обращения: 12 февраля 2025.
- ↑ Bauer, Jonathan O.; Leitus, Gregory; Ben-David, Yehoshoa; Milstein, David (2 декабря 2016). Direct Synthesis of Symmetrical Azines from Alcohols and Hydrazine Catalyzed by a Ruthenium Pincer Complex: Effect of Hydrogen Bonding. ACS Catalysis. 6 (12): 8415–8419. doi:10.1021/acscatal.6b02946. Дата обращения: 12 февраля 2025.
- ↑ Gayathri, S.; Viswanathamurthi, P.; Naveen, K.; Murugan, K. (1 июля 2022). Convenient synthesis of symmetrical azines from alcohols and hydrazine catalyzed by ruthenium(II) hydrazone complex in air. Inorganica Chimica Acta. 537: 120957. doi:10.1016/j.ica.2022.120957. ISSN 0020-1693. Дата обращения: 12 февраля 2025.
- ↑ Maxwell, Gary R. (2004), Synthetic nitrogen products: a practical guide to the products and processes, Springer, pp. 342–44, ISBN 0306482258.
