Активный ярко-красный 6С
Активный ярко-красный 6С — это монохлортриазиновый активный азокраситель, придающий целлюлозе красный цвет с сильным синим оттенком. Как и другие триазиновые активные красители, закрепляется в процессе взаимодействия с красителем функциональных групп волокна (или иного окрашиваемого материала) с образованием ковалентной связи. При 70—90 °C в присутствии щелочного агента, в гидрокси- или аминогруппе окрашиваемого вещества атом водорода замещается на остаток красителя, то есть вместо связи триазинового фрагмента красителя с хлором образуется связь с азотом или кислородом соответствующих групп окрашиваемого субстрата.
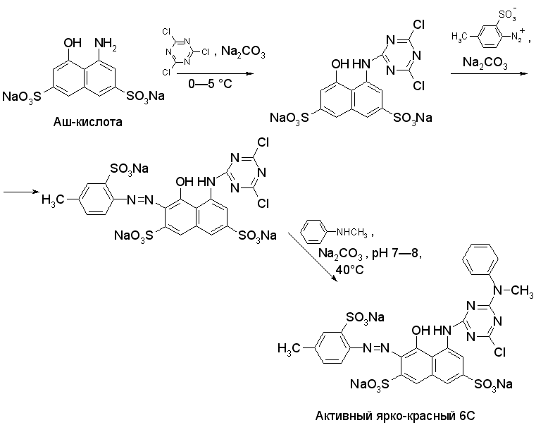
Получение
Активный ярко-красный 6С получают, начиная со взаимодействия Аш-кислоты и цианурхлорида в присутствии соды при 0—5 °C. С полученным соединением сочетают диазосоединение из 4-аминотолуол-3-сульфокислоты.
Образовавшийся дихлортриазиновый краситель обрабатывают N-метиланилином в присутствии соды при 40 °C. Образуется монохлортриазиновый краситель Активный ярко-красный 6С.

Литература
- Б. И. Степанов «Введение в химию и технологию органических красителей», изд. 3-е, перераб. и доп., М., «Химия», 1984.