Барбитал натрий
| Барбитал натрий | |
|---|---|
| Barbitali natrium | |
| |
| Химическое соединение | |
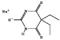
| ИЮПАК | 5, 5-Диэтилбарбитурат натрия |
| Брутто-формула | C8H11N2NaO3 |
| Молярная масса | 206,174 г/моль |
| CAS | ? |
| PubChem | 23681217, 23672000 и 12598274 |
| Состав | |
| Фармакокинетика | |
| Биодоступн. | ? |
| Метаболизм | ? |
| Период полувывед. | ? |
| Экскреция | ? |
| Другие названия | |
| Барбитал-натрий, Мединал | |
Синонимы: Barbitalum Natricum, Barbital Sodium, Barbitone soluble, Diemal natrium, Medinalum, Veronal sodium.
Снотворное и успокаивающее средство, действующее благодаря лёгкой растворимости несколько быстрее, чем барбитал. Быстрее, чем последний, выводится из организма; менее токсичен.
Может применяться при бессоннице, нервном возбуждении, невралгиях, иногда как противорвотное и противосудорожное средство. Назначают внутрь взрослым по 0,3—0,5—0,75 г; детям в зависимости от возраста по 0,025—0,25г на приём. Как снотворное принимают за 0,5—1 ч до сна; запивают тёплым чаем.
Высшие дозы для взрослых внутрь, под кожу и внутримышечно: разовая 0,5 г, суточная 1 г.
Под кожу и в мышцы вводят взрослым до 5 мл 10 % раствора (0,5 г препарата) с добавлением новокаина (0,005 г). Назначают также в виде клизм (в 5—15 мл воды).
Физические свойства
Белый кристаллический порошок без запаха, горького вкуса. Легко растворим в воде (1:5 в холодной и 1:2, 5 в кипящей), мало растворим в спирте, нерастворим в эфире. Водный раствор имеет щелочную реакцию (рН 9,0—10,0). Растворы для инъекций готовят в асептических условиях.
Форма выпуска
Форма выпуска: порошок. Ранее выпускавшиеся таблетки по 0,3 г исключены из номенклатуры лекарственных средств.
Хранение
Хранение: список Б. В хорошо укупоренной таре.
