Бензиловая перегруппировка
Бензи́ловая перегруппиро́вка — перегруппировка 1,2-дикетонов в α-гидроксикислоты под действием сильных оснований (гидроксидов щелочных металлов или алкоголятов). Перегруппировке подвергаются как ароматические, так и алифатические 1,2-дикетоны, в случае алициклических кетонов происходит сужение цикла. При использовании в качестве оснований алкоголятов продуктом перегруппировки являются эфиры α-гидроксикислот.
Впервые была проведена в 1838 году Юстусом Либихом, осуществившим перегруппировку бензила в бензиловую кислоту [1]:
Механизм реакции
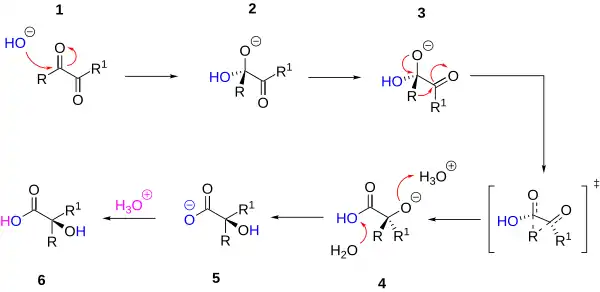
В классическом варианте перегруппировки на первой стадии реакции происходит нуклеофильная атака гидроксил-ионом углерода карбонильной группы с образованием моноалкоголята α-кето-гем-диола (2). В результате вращения вокруг связи C–C кетодиола (2) образуется конформер (3), в котором мигрирующая группа R находится в одной плоскости с группой R1, что благоприятствует образованию переходного состояния (TS), которое после миграции R образует продукт перегруппировки (4). Далее в (4) происходит миграция протона от атома кислорода карбоксильной группы к более основному алкоксидному кислороду с образованием аниона α-гидроксикарбоновой кислоты:
Примечания
- ↑ Liebig, J. (1838). Ueber Laurent's Theorie der organischen Verbindungen. Annalen der Chemie. 25: 1–31. doi:10.1002/jlac.18380250102. Архивировано 27 апреля 2021. Дата обращения: 27 февраля 2024.

