Бета-распад
Бе́та-распа́д (β-распад) — тип радиоактивного распада, обусловленный слабым взаимодействием и изменяющий заряд ядра на единицу без изменения массового числа[1]. При этом распаде ядро излучает электрон или позитрон (бета-частицу), а также нейтральную частицу с полуцелым спином (электронное антинейтрино или электронное нейтрино).
Традиционно к бета-распаду относят распады двух видов:
- ядро (или нейтрон) испускает электрон и антинейтрино — «бета-минус-распад» (β−).
- ядро испускает позитрон и нейтрино — «бета-плюс-распад» (β+).
При электронном распаде возникает антинейтрино, при позитронном распаде — нейтрино. Это обусловлено фундаментальным законом сохранения лептонного заряда.
Кроме β− и β+-распадов, к бета-превращениям относят также электронный захват (e-захват), в котором ядро захватывает электрон из своей электронной оболочки и испускает электронное нейтрино.
Нейтрино (антинейтрино), в отличие от электронов и позитронов, крайне слабо взаимодействуют с веществом и уносят с собой часть доступной энергии распада.
Механизм распада



В β−-распаде слабое взаимодействие превращает нейтрон в протон, при этом испускаются электрон и электронное антинейтрино:
- .
На фундаментальном уровне (показанном на фейнмановской диаграмме) это обусловлено превращением d-кварка в u-кварк с испусканием виртуального W−-бозона, который, в свою очередь, распадается на электрон и антинейтрино.
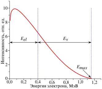
Свободный нейтрон также испытывает β−-распад (см. Бета-распад нейтрона). Это обусловлено тем, что масса нейтрона больше, чем суммарная масса протона, электрона и антинейтрино. Связанный в ядре нейтрон может распадаться по этому каналу только в том случае, если масса материнского атома Mi больше массы дочернего атома Mf (или, вообще говоря, если полная энергия начального состояния больше полной энергии любого возможного конечного состояния)[2]. Разность (Mi − Mf)·c2 = Qβ называется доступной энергией бета-распада. Она совпадает с суммарной кинетической энергией движущихся после распада частиц — электрона, антинейтрино и дочернего ядра (так называемого ядра отдачи, чья доля в общем балансе уносимой кинетической энергии очень мала, поскольку оно значительно массивнее двух других частиц). Если пренебречь вкладом ядра отдачи, то доступная энергия, выделившаяся при бета-распаде, распределяется в виде кинетической энергии между электроном и антинейтрино, причём это распределение непрерывно: каждая из двух частиц может иметь кинетическую энергию, лежащую в пределах от 0 до Qβ. Закон сохранения энергии разрешает β−-распад лишь при неотрицательном Qβ.
Если распад нейтрона произошёл в ядре атома, то дочерний атом при β−-распаде обычно возникает в виде однократно заряженного положительного иона, поскольку ядро увеличивает свой заряд на единицу, а количество электронов в оболочке остаётся прежним. Устойчивое состояние электронной оболочки такого иона может отличаться от состояния оболочки материнского атома, поэтому после распада происходит перестройка электронной оболочки, сопровождающаяся излучением фотонов. Кроме того, возможен бета-распад в связанное состояние, когда вылетевший из ядра электрон с низкой энергией захватывается на одну из орбиталей оболочки; в этом случае дочерний атом остаётся нейтральным.
В β+-распаде протон в ядре превращается в нейтрон, позитрон и нейтрино:
В отличие от β−-распада, β+-распад не может происходить вне ядра, поскольку масса свободного протона меньше массы нейтрона (распад мог бы идти только в том случае, если бы масса протона превосходила суммарную массу нейтрона, позитрона и нейтрино). Протон может распадаться по каналу β+-распада лишь внутри ядер, когда абсолютное значение энергии связи дочернего ядра больше энергии связи материнского ядра. Разность между двумя этими энергиями идёт на превращение протона в нейтрон, позитрон и нейтрино и на кинетическую энергию получившихся частиц. Энергетический баланс при позитронном распаде выглядит следующим образом: (Mi − Mf − 2me)·c2 = Qβ, где me — масса электрона. Как и в случае β−-распада, доступная энергия Qβ распределяется между позитроном, нейтрино и ядром отдачи (на долю последнего приходится лишь малая часть); кинетическая энергия позитрона и нейтрино распределены непрерывно в пределах от 0 до Qβ; распад разрешён энергетически лишь при неотрицательном Qβ.
При позитронном распаде дочерний атом возникает в виде отрицательного однозарядного иона, поскольку заряд ядра уменьшается на единицу. Один из возможных каналов позитронного распада — аннигиляция появившегося позитрона с одним из электронов оболочки.
Во всех случаях, когда β+-распад энергетически возможен (и протон является частью ядра, несущего электронные оболочки либо находящегося в плазме со свободными электронами), он сопровождается конкурирующим процессом электронного захвата, при котором электрон атома захватывается ядром с испусканием нейтрино:
Но если разность масс начального и конечного атомов мала (меньше удвоенной массы электрона, то есть 1022 кэВ), то электронный захват происходит, не сопровождаясь позитронным распадом; последний в этом случае запрещён законом сохранения энергии. В отличие от ранее рассмотренных электронного и позитронного бета-распада, в электронном захвате вся доступная энергия (кроме кинетической энергии ядра отдачи и энергии возбуждения оболочки Ex) уносится одной частицей — нейтрино. Поэтому нейтринный спектр здесь представляет собой не гладкое распределение, а моноэнергетическую линию вблизи Qβ.
Когда протон и нейтрон являются частями атомного ядра, процессы бета-распада превращают один химический элемент в другой, соседний по таблице Менделеева. Например:
- (-распад, энергия распада 1175 кэВ[3]),
- (-распад),
- (электронный захват).
Бета-распад не меняет число нуклонов в ядре A, но меняет только его заряд Z (а также число нейтронов N). Таким образом, может быть введён набор всех нуклидов с одинаковым A, но различными Z и N (изобарная цепочка); эти изобарные нуклиды могут последовательно превращаться друг в друга при бета-распаде. Среди них некоторые нуклиды (по крайней мере, один) бета-стабильны, поскольку они представляют собой локальные минимумы избытка массы: если такое ядро имеет числа (A, Z), соседние ядра (A, Z − 1) и (A, Z + 1) имеют больший излишек массы и могут распадаться посредством бета-распада в (A, Z), но не наоборот. Необходимо заметить, что бета-стабильное ядро может подвергаться другим типам радиоактивного распада (альфа-распаду, например). Большинство изотопов, существующих в природных условиях на Земле, бета-стабильны, но существует несколько исключений с такими большими периодами полураспада, что они не успели исчезнуть за примерно 4,5 млрд лет, прошедшие с момента нуклеосинтеза. Например, 40K, который испытывает все три типа бета-распада (бета-минус, бета-плюс и электронный захват), имеет период полураспада 1,277⋅109 лет.
Бета-распад можно рассматривать как переход между двумя квантовомеханическими состояниями, обусловленный возмущением, поэтому он подчиняется золотому правилу Ферми.
В зависимости от ориентации спинов образующихся частиц выделяют два варианта бета-распада. Если спины образующихся при бета-распаде электрона и антинейтрино параллельны (на примере бета-минус распада), то происходит переход типа Гамова — Теллера. Если спины электрона и антинейтрино ориентированы противоположно, происходит переход типа Ферми[4] (см. взаимодействие Ферми).
График Кюри
График Кюри[5] (известен также как график Ферми) — диаграмма, используемая для изучения бета-распада. Это энергетическая зависимость квадратного корня из количества излучённых бета-частиц с данной энергией, делённая на функцию Ферми. Для разрешённых (и некоторых запрещённых) бета-распадов график Кюри линеен (прямая линия, наклонённая в сторону роста энергии). Если нейтрино имеют конечную массу, то график Кюри вблизи точки пересечения с осью энергии отклоняется от линейного, благодаря чему появляется возможность измерить массу нейтрино.
Двойной бета-распад
Некоторые ядра могут испытывать двойной бета-распад (ββ-распад), при котором заряд ядра меняется не на одну, а на две единицы. В самых практически интересных случаях такие ядра бета-стабильны (то есть простой бета-распад энергетически запрещён), поскольку когда β- и ββ-распады оба разрешены, вероятность β-распада (обычно) намного больше, мешая исследованиям очень редких ββ-распадов. Таким образом, ββ-распад обычно изучается только для бета-стабильных ядер. Как и простой бета-распад, двойной бета-распад не меняет A; следовательно, как минимум один из нуклидов с данным A должен быть стабильным по отношению как к простому, так и к двойному бета-распаду.
История
Исторически исследование бета-распада привело к первому физическому свидетельству существования нейтрино. В 1914 году Дж. Чедвик экспериментально показал, что энергии электронов, испускаемых при бета-распаде, имеют непрерывный, а не дискретный спектр. Это находилось в очевидном противоречии с законом сохранения энергии, поскольку получалось, что часть энергии терялась в процессах бета-распада. Вторая проблема заключалась в том, что спин атома азота-14 был равен 1, что противоречило предсказанию Резерфорда — ½. В известном письме, написанном в 1930 году, Вольфганг Паули предположил, что, помимо электронов и протонов, атомы содержат очень лёгкую нейтральную частицу, которую он назвал нейтроном. Он предположил, что этот «нейтрон» испускается при бета-распаде и раньше просто не наблюдался. В 1931 году Энрико Ферми переименовал «нейтрон» Паули в нейтрино, и в 1934 году Ферми опубликовал очень удачную модель бета-распада, в которой участвовали нейтрино[6].
Процесс позитронного бета-распада был открыт Ф. Жолио-Кюри и И. Жолио-Кюри в 1934 году. Явление электронного захвата было впервые обнаружено в 1937 году Л. Альваресом[7].
См. также
- Бета-распад нейтрона
- Обратный бета-распад
- Двойной бета-распад
- Позитронная эмиссия
- Электронный захват
Примечания
- ↑ В соответствии с правилом радиоактивных смещений Содди и Фаянса.
- ↑ Например, дейтерий, ядро которого состоит из протона и нейтрона, бета-стабилен; нейтрон в нём не может самопроизвольно распасться в протон+электрон+антинейтрино, поскольку энергия любых возможных конечных состояний больше энергии покоящегося атома дейтерия.
- ↑ Архивированная копия. Дата обращения: 20 февраля 2016. Архивировано 16 октября 2005 года.
- ↑ Бета-распад. Ядерная физика в интернете. МГУ (17 ноября 2015). Дата обращения: 19 апреля 2016. Архивировано 6 января 2022 года.
- ↑ Назван в честь Франца Кюри (Franz N. D. Kurie), американского физика, не являющегося ни родственником, ни однофамильцем Пьера и Марии Кюри (Curie).
- ↑ Г. Т. Зацепин, А. Ю. Смирнов. Нейтрино // Физическая энциклопедия : [в 5 т.] / Гл. ред. А. М. Прохоров. — М.: Советская энциклопедия (т. 1—2); Большая Российская энциклопедия (т. 3—5), 1988—1999. — ISBN 5-85270-034-7.
- ↑ Наумов А. И. Физика атомного ядра и элементарных частиц. — М.: «Просвещение», 1984. — С. 191.
Литература
- Ву Ц. С., Мошковский С. А. Бета-распад. — М.: Атомиздат, 1970. — 397 с.
- Маляров В. В. Основы теории атомного ядра. — М.: Физматлит, 1959. — 471 с. — 18 000 экз.
- Челлен Г. Физика элементарных частиц. — М.: Наука, 1966. — 556 с. — 8000 экз.
- Соловьёв В.Г. Теория атомного ядра: Квазичастицы и фононы. — Энергоатомиздат, 1989. — С. 103, 111, 112, 123, 138, 147, 208, 274, 288. — 304 с. — ISBN 5-283-03914-5.
- Ерозолимский Б.Г.Бета-распад нейтрона. УФН. 1975. Том 116. С. 145–164