Бриллиантовый жёлтый
| Бриллиантовый жёлтый | |
|---|---|
| |
| Общие | |
| Хим. формула | C26H18N4Na2O8S2 |
| Физические свойства | |
| Молярная масса | 624,56 г/моль |
| Классификация | |
| Рег. номер CAS | 3051-11-4 |
| PubChem | 5702677 |
| Рег. номер EINECS | 221-267-1 |
| SMILES | |
| InChI | |
| ChemSpider | 17946628 |
| Приведены данные для стандартных условий (25 °C, 100 кПа), если не указано иное. | |
Бриллиантовый жёлтый (он же Яркий жёлтый, Brilliant Yellow, CI 24890, Direct Yellow 4) — брутто-формула C26H18N4Na2O8S2, CAS-номер 3051-11-4 (динатриевая соль по сульфогруппам) — прямой дис-азокраситель — производное диамина с разобщёнными азогруппами.
Благодаря своим свойствам, ценности и прочности, считается одним из важнейших красителей на основе стильбена.[1] Может использоваться в качестве кислотно-основного индикатора. В щелочной среде жёлтый цвет красителя углубляется через оранжевый до красного при pH 6,4 → 8,0.[2]
Получение
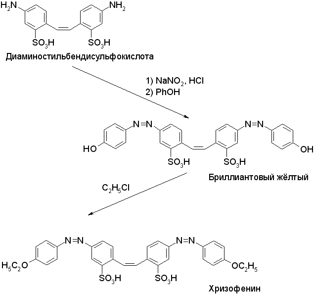
4,4'-диаминостильбен-2,2'-дисульфокислоту диазотируют нитритом натрия в избытке соляной кислоты при 20—25 °C, после чего при температуре ниже 10 °C сочетают с фенолом в присутствии соды.
Дальнейшим этилированием окси-групп в автоклаве этилхлоридом может быть получен прямой краситель золотисто-жёлтого цвета Хризофенин.

Особенности строения
Виниленовая группа —CH=CH— обеспечивает значительное разобщение связываемых через неё систем сопряжённых двойных связей, поэтому оттенки стильбеновых красителей превосходят по чистоте и яркости красители на основе бензидина. В данном случае в симметричном красителе две идентичные независимые хромофорные системы отвечают за интенсивную жёлтую окраску.
Удвоение размера молекулы по сравнению с воображаемым красителем, характеризующимся аналогичной независимой хромофорной системой (полученного сочетанием диазотированной толуидинсульфокислоты с фенолом), обеспечивает повышенную стойкость красителя и получаемых с его помощью окрасок к свету и другим воздействиям.
Несмотря на то, что краситель обладает субстантивностью (сродством к целлюлозным волокнам), Бриллиантовый жёлтый, в отличие от Хризофенина, не находит широкого применения в текстильной промышленности, в связи с чувствительностью к pH.
Источники информации и внешние ссылки
- Б. И. Степанов «Введение в химию и технологию органических красителей», изд. 3-е, перераб. и доп., М., «Химия», 1984.
- MSDS for Brilliant Yellow, (в виде .pdf) техника безопасности при работе с Бриллиантовым жёлтым.
Примечания
- ↑ Roy E. Smith, Stilbene Dyes, статья из энциклопедии Kirk-Othmer Encyclopedia of Chemical Technology, 2001. Реферат статьи на сайте Wiley-Interscience.
- ↑ Brilliant Yellow in Medical Online Dictionary Архивная копия от 4 марта 2016 на Wayback Machine
