Гуанидин

Гуанидин
Изображение химической структуры Изображение молекулярной модели
Общие
Традиционные названия гуанидин
Хим. формула CH5N3
Рац. формула
Физические свойства
Состояние твёрдое в-во
Молярная масса 59,07 г/моль
Термические свойства
Температура
  плавления 50 °C
Энтальпия
  образования −56,01 кДж/моль
Химические свойства
Константа диссоциации кислоты 12,5
Классификация
Рег. номер CAS 113-00-8
PubChem
Рег. номер EINECS 204-021-8
SMILES
InChI
ChEBI 42820
ChemSpider
Приведены данные для стандартных условий (25 °C, 100 кПа), если не указано иное.
Логотип Викисклада Медиафайлы на Викискладе
Модель молекулы

Гуаниди́н — органическое соединения с химической формулой . При нормальных условиях представляет собой бесцветное кристаллическое вещество, расплывается на воздухе вследствие поглощения влаги.

Является сильным однокислотным основанием pKa = 12,5. С HCl и HNO3 образует устойчивые соли.

История

Вещество было впервые получено окислительной деградацией природных ароматических продуктов, гуанина, выделенного из перуанского гуано[1].

Несмотря на простоту молекулы[2], кристаллическая структура была впервые описана на 148 лет позже открытия, в 2013 году положения атомов водорода в молекуле были точно определены с помощью нейтронографии монокристалла[3].

Нахождение в природе

Находится в моче преимущественно у пациентов с почечной недостаточностью как продукт метаболизма белков[4].

Свойства

Легко алкилируется. Обладает фунгицидной и бактерицидной активностью.

Получение

  • В промышленности гуанидины получают сплавлением солей аммония с мочевиной или циангуанидином:
    .
  • Также гидрированием циангуанидина на никеле Ренея:
    .
  • Извлекают при помощи ионообменных смол из отходов производства мочевины.
  • Карбонат извлекают из отходов производства меламина.
  • Другие соли получают по реакции с основанием гуанидина.
  • Спиртовые растворы при реакции хлорида гуанидиния с соответствующими алкоголятами.

Протонирование и основность

Резонансная структура
Канонические формы

Гуанидин благодаря резонансной делокализации электрического заряда в симметричном гуанидиниевом катионе, образующимся при протонировании гуанидина, является сильным основанием сравнимым по силе (pKa = 13,5) с гидроксидом натрия.

Высокая основность характерна и для замещенных гуанидинов: так, гуанидиновая группа аминокислоты аргинина (pKa = 12,48) протонирована в физиологических условиях (при pH < 10).

Гуанидинхлорид используют для денатурации белков, причём концентрация и свободная энергия раскрытия находятся в линейной зависимости. С этой же целью используется и тиоцианат гуанидиния.

Производные гуанидина

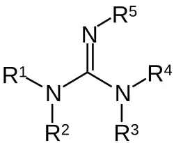
Общая структура гуанидина

Гуанидины — группа органических соединений с общей структурой . Центральная связь внутри этой структуры — иминовая; другая распознаваемая субструктура — аминаль. Примеры гуанидинов: аргинин, триазобициклодецен и сакситоксин. Другие производные могут включать гуанидин гидроксид.

Гуанидиновые соли хорошо известны благодаря их денатурирующему действию на белки. Хлорид гуанидина — наиболее известный денатурант. В его 6 М растворе практически все белки с упорядоченой структурой теряют свою упорядоченность.

Бигуаниды  — гипогликемические лекарственные средства, используемые при сахарном диабете. Молекулы бигуанидов состоят из полиметиленовой цепочки и гуанидиновой группы на обеих её концах.

Применение

  • Соли гуанидина, применяемые в промышленности:
    • динитрат — как взрывчатое вещество,
    • нитрат — в качестве монотоплива,
    • фосфат — в текстильной промышленности для придания огнеупорных свойств тканям,
    • карбонат — в синтезе поверхностно-активных веществ и косметике для выпрямления волос.
  • Продукт конденсации гуанидина с формальдегидом используется как ионообменная смола.
  • Он также применяется в производстве пластмасс.
  • В качестве перспективного альтернативного топлива[5].
  • Нитрогуанидин, нитрат гуанидиния, перхлорат гуанидиния используют в качестве ракетного топлива.
  • Хромат — ингибитор коррозии.

Безопасность

Токсичен, вызывает при попадании на кожу и в дыхательные пути химический ожог.

Примечания

  1. Strecker A. Liebigs Ann. Chem. 1861, 118, 151.
  2. Yamada T., Liu X., Englert U., Yamane H., Dronskowski R. Chem. Eur. J. 2009, 15, 5651.
  3. Sawinski PK, Meven M, Englert U, Dronskowski R (2013). Single-Crystal Neutron Diffraction Study on Guanidine, CN3H5. Crystal Growth & Design. 13 (4): 1730–5. doi:10.1021/cg400054k.
  4. Sawynok J, Dawborn JK (1975). Plasma concentration and urinary excretion of guanidine derivatives in normal subjects and patients with renal failure. Clinical and Experimental Pharmacology & Physiology. 2 (1): 1–15. doi:10.1111/j.1440-1681.1975.tb02368.x. PMID 1126056. S2CID 41794868.
  5. European Patent Office application EP20050746871 (недоступная ссылка).