Гуанозинтрифосфат

Гуанозинтрифосфат
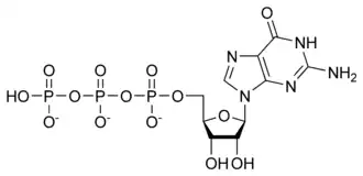
Изображение химической структуры
Общие
Сокращения ГТФ, GTP
Традиционные названия Гуанозинтрифосфат
Хим. формула C10H16N5O14P3
Рац. формула C10H16N5O14P3
Физические свойства
Молярная масса 523,18 г/моль
Классификация
Рег. номер CAS 86-01-1
PubChem
Рег. номер EINECS 201-647-3
SMILES
InChI
ChEBI 15996
ChemSpider
Приведены данные для стандартных условий (25 °C, 100 кПа), если не указано иное.
Логотип Викисклада Медиафайлы на Викискладе
Гуанозинтрифосфат, ГТФ

Гуанозинтрифосфат (ГТФ, GTP) — это пуриновый нуклеотид.

Биологическая роль

ГТФ является субстратом для синтеза РНК в процессе транскрипции. Структура ГТФ похожа на гуаниловый нуклеозид, но отличается наличием трёх фосфатных групп, присоединённых к 5'-атому углерода.[1]

ГТФ играет роль источника энергии для активации субстратов в метаболических реакциях, при этом ГТФ более специфичен, чем АТФ. Используется как источник энергии в биосинтезе белка.

ГТФ принимает участие в реакциях передачи сигнала, в частности связывается с G-белками, и превращается в ГДФ при участии ГТФаз.[2]

Транслокация белков в митохондриальный матрикс включает взаимодействия как ГТФ, так и АТФ. Транспорт этих белков играет важную роль в нескольких путях, регулируемых в митохондриях, таких как преобразование оксалоацетата в фосфоенолпируват в глюконеогенезе.

Биосинтез

В клетке GTP синтезируется посредством множества процессов, включая:

  • как побочный продукт превращения сукцинил-КоА в сукцинат, катализируемого ферментом сукцинил-КоА-синтетазой (сукцинилтиокиназой), как часть цикла Кребса ;
  • посредством обмена фосфатных групп в молекулах АТФ с помощью нуклеозид-дифосфаткиназы, фермента, задачей которого является поддержание равновесия между концентрациями различных нуклеозидтрифосфатов.

цГТФ

Циклический гуанозинтрифосфат (цГТФ) помогает циклическому аденозинмонофосфату (цАМФ) активировать циклические нуклеотидно-управляемые ионные каналы в обонятельной системе.

Примечания

  1. Кнорре Д. Г., Мызина С. Д. Биологическая химия. — 3. — Москва: Высшая школа, 2000. — 479 с. 7000 экз. — ISBN 5060037207.
  2. David L. Nelson, Michael M. Cox. Lehninger Principles of Biochemistry. — 4. — W. H. Freeman, 2004. — 1100 с.