Дифенилацетилен
| Дифенилацетилен | |
|---|---|
| |
| Общие | |
| Систематическое наименование |
дифенилацетилен |
| Традиционные названия | толан |
| Хим. формула | C14H10 |
| Физические свойства | |
| Состояние | Бесцветные кристаллы |
| Молярная масса | 178,22 г/моль |
| Энергия ионизации | 7,9 эВ[1] |
| Термические свойства | |
| Температура | |
| • плавления | 62,5 °C |
| • кипения | 300 °C |
| Энтальпия | |
| • образования | 319,66 кДж/моль |
| • плавления | 120,1 кДж/моль |
| Классификация | |
| Рег. номер CAS | 501-65-5 |
| PubChem | 10390 |
| Рег. номер EINECS | 207-926-6 |
| SMILES | |
| InChI | |
| ChEBI | 51579 |
| ChemSpider | 9961 |
| Приведены данные для стандартных условий (25 °C, 100 кПа), если не указано иное. | |
Дифенилацетилен (толан) — органическое соединение, углеводород класса алкинов и аренов с химической формулой C14H10, изомерен фенантрену.
Физические свойства
Бесцветные кристаллы, растворимые в диэтиловом эфире и горячем этаноле. Длина связи С≡С равна 0,119 нм, а связи C6H5–C равна 0,140 нм.
Химические свойства
- Дифенилацетилен окисляется хромовым ангидридом в бензойную кислоту:

- Дифениацетилен гидрируется до цис-стильбена или дибензила. Частичное восстановление тройной связи наблюдается уже при УФ облучении в растворе метанола.

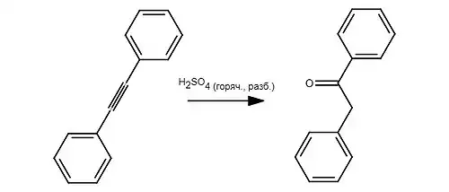
- Горячей разбавленной серной кислотой гидратируется в бензилфенилкетон:

- Дифенилацетилен присоединяет галогены, галогеноводороды, нитрозилхлорид, дифенилфосфид лития (в присутствии аминов), карбены, диметилсилилен, иодид германия (II) (аддукты часто перегруппировываются в пяти- и шестичленные циклы) и др., вступает в реакцию Дильса-Альдера.
- При действии на Дифенилацетилен сульфида натрия Na2S или тиоацетата натрия CH3COSNa, а также тиомочевины (NH2)2CS в системе KOH-ДМСО-H2O образуется тетрафенилдивинилсульфид, который при нагревании на воздухе количественно окисляется в тетрафенилтиофен:
где X - сульфид натрия, тиоацетат натрия, тиомочевина (см. реакцию)

- Дифенилацетилен вступает в фотохимическое 1,2 циклоприсоединение с бензохинонами.
- При взаимодействии с литием образуется 1,4-дилитийтетрафенил-1,3-бутадиен, используемый для синтеза гетероциклов:

- При взаимодействии с тетрахлоридом селена SeCl4 - 2-фенил-3-хлорбензоселенофен:

- Из дифенилацетилена и тетрахлорида титана TiCl4 (в присутствии циклопентадиенилнатрия) или трифенилалюминия (С6H5)3Al (при 200°С) получают титан- и алюминийсодержащие соединения:


Синтез
Синтезируют дифенилацетилен в лаборатории дегидрогалогенированием 1-галоген-1,2-дифенилэтиленов, 1,2-дигалоген-1,2-дифенилэтанов или 1-галоген-2,2-дифенилэтанов (с миграцией фенильного радикала; перегруппировка Фрича-Буттенберга-Виххеля), а также окислением дигидразона бензила желтым оксидом ртути HgO.
Литература
- Химическая энциклопедия / Редкол.: Кнунянц И.Л. и др.. — М.: Советская энциклопедия, 1990. — Т. 2. — 95 с.
- Химия ацетиленовых соединений, под ред. Вийе Г.Г., перевод с англ., М., 1973.
- Дивинилсульфид и его производные: Трофимов Б.А., Амосова С.В., Новосибирск., 1983.
Примечания
- ↑ David R. Lide, Jr. Basic laboratory and industrial chemicals (англ.): A CRC quick reference handbook — CRC Press, 1993. — ISBN 978-0-8493-4498-5
