Закон Пашена

Зако́н Па́шена, назван в честь Фридриха Пашена, сформулировавшего этот закон в 1889 году[1].
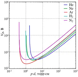
Де ла Рю и Мюллер (De La Rue and Muller) первыми обнаружили зависимость пробойного напряжения от произведения давления газа и расстояния между электродами [2]. Однако их результаты не были замечены и процитированы в работе Пашена. Пашен исследовал зажигание разряда постоянного тока между сферическими электродами, изменяя расстояние между ними. Он показал, что пробойное напряжение зависит только от произведения , а не отдельно от давления и зазора . Этот закон широко известен как закон Пашена. В соответствии с законом, наименьшее напряжение зажигания газового разряда между двумя плоскими электродами (в однородном электрическом поле) есть величина постоянная (и характерная для данного газа) при одинаковых значениях . Закон Пашена означает, что кривые зажигания , измеренные для различных расстояний между электродами , должны наложиться друг на друга, если их построить как функцию . При выполнении закона Пашена напряжение в минимуме кривой зажигания, а также произведение должны сохраняться неизменными, постоянными.
Закон Пашена представляет собой частный случай закона подобия газовых разрядов: явления в разряде протекают одинаково, если произведение давления газа на длину разрядного промежутка остаётся величиной постоянной, а форма промежутка сохраняется геометрически подобной исходной. Однако в ряде работ было замечено, что пробойное напряжение для более длинных зазоров между электродами было заметно выше, чем для узких зазоров при неизменной величине произведения . Первыми на отклонения от закона Пашена указали Таунсенд и МакКеллум (Townsend and McCallum)[3] и МакКеллум и Клатзов (McCallum and Klatzow)[4]. Они получили, что при фиксированном пробойные напряжения возрастают с увеличением расстояния между электродами. Отклонения от закона Пашена наблюдал также Миллер (Miller)[5], исследовавший напряжения пробоя в неоне при различных расстояниях между электродами. Правые ветви кривых зажигания в криптоне и ксеноне измерили Жак и др. (Jacques et al.)[6]. Они получили, что эти ветви с увеличением расстояния между электродами не совпадают, а смещаются в область более высоких пробойных напряжений.
Лисовский и др. (Lisovskiy, Yakovin, Yegorenkov)[7] исследовали пробой газов низкого давления в цилиндрических трубках различного радиуса , при различных расстояниях между плоскими электродами, различных материалах электродов в диапазоне отношения . Они показали, что обычный закон Пашена для пробоя газа в постоянном электрическом поле выполняется только для коротких разрядных трубок, у которых отношение межэлектродного промежутка к радиусу трубки . Для бо́льших значений нужно пользоваться модифицированным законом . При увеличение расстояния между электродами смещает кривые зажигания в область более высоких пробойных напряжений и более низких давлений газа (при выполнении обычного закона Пашена кривые зажигания с ростом расстояния между электродами смещаются в диапазон более низких давлений газа при неизменном напряжении в минимуме кривой зажигания).
См. также
Примечания
- ↑ Friedrich Paschen. Ueber die zum Funkenübergang in Luft, Wasserstoff und Kohlensäure bei verschiedenen Drucken erforderliche Potentialdifferenz (нем.) // Annalen der Physik und Chemie : magazin. — 1889. — Bd. 273, Nr. 5. — S. 69—96. — doi:10.1002/andp.18892730505.
- ↑ De La Rue W., Muller H. W. Experimental Researches on the Electric Discharge with the Chloride of Silver Battery (англ.) // Phil. Trans. Roy. Soc. — London : journal. — 1880. — Vol. 171, no. 1. — P. 65—116.
- ↑ Townsend J. S.; MacCallum S. P. Electrical properties of neon (англ.) // Philosophical Magazine : journal. — 1928. — Vol. 6, no. 38. — P. 857 — 878.
- ↑ McCallum S. P., Klatzow L. Deviations from Paschen’s Law (англ.) // Philosophical Magazine : journal. — 1934. — Vol. 17, no. 111. — P. 279—297.
- ↑ Miller H. C. Breakdown potential of neon below the Paschen minimum (англ.) // Physica : journal. — 1964. — Vol. 30, no. 11. — P. 2059—2067.
- ↑ Jacques L., Bruynooghe W., Boucique R., Wieme W. J. Experimental determination of the primary and secondary ionization coefficients in krypton and xenon (англ.) // J. Phys. D: Appl. Phys. : journal. — 1986. — Vol. 19, no. 9. — P. 1731—1739.
- ↑ Lisovskiy V. A., Yakovin S. D., Yegorenkov V. D. Low-pressure gas breakdown in uniform dc electric field (англ.) // J. Phys. D: Appl. Phys. : journal. — 2000. — Vol. 33, no. 21. — P. 2722—2730.