Кариофиллен
| Кариофиллен | |
|---|---|
![]() | |
| Общие | |
| Систематическое наименование |
4,11,11-триметил-8-метилен-бицикло[7.2.0]ундец-4-ен |
| Хим. формула | C15H24 |
| Рац. формула | C15H24 |
| Физические свойства | |
| Молярная масса | 204,35 г/моль |
| Плотность | 0,894 г/см³ |
| Поверхностное натяжение | 0.0297 Н/м |
| Термические свойства | |
| Температура | |
| • кипения | 268 °C |
| • вспышки | 105 °C |
| Оптические свойства | |
| Показатель преломления | 1,495 |
| Классификация | |
| Рег. номер CAS | 87-44-5 |
| PubChem | 5281515 |
| Рег. номер EINECS | 201-746-1 |
| SMILES | |
| InChI | |
| RTECS | DT8400000 |
| ChEBI | 10357 |
| ChemSpider | 4444848 |
| Безопасность | |
| ЛД50 | 5 г/кг (крысы, перорально) |
| Приведены данные для стандартных условий (25 °C, 100 кПа), если не указано иное. | |
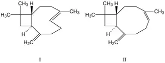
Кариофиллен C15H24 — терпеновый углеводород. Кариофиллен существует в виде двух изомеров: собственно кариофиллен (формула I) и изокариофиллен (формула II).
Свойства
Бесцветная маслянистая жидкость с острым древесным запахом. Растворяется в неполярных органических растворителях, нерастворим в воде.
Для кариофиллена [α]D20 = −9,5o и +9,5o Для изокариофиллена [α]D20 = −26,2o и +21,9o
На воздухе оба изомера быстро окисляются и осмоляются. Под действием кислот легко подвергается изомеризации углеродного скелета молекулы.
Нахождение в природе и получение
Кариофиллен содержится в некоторых эфирных маслах. Получают как побочный продукт при выделении эвгенола.
Два производных кариофиллена были обнаружены в конском навозе: бета-кариофиллен и окись кариофиллена. Эти соединения были обнаружены китайскими учеными, в ходе изучения феномена «обваливания Пандами шерсти» экскрементами лошадей в зимний период: эти соединения дарили обманное ощущение тепла[1].
Применение
Кариофиллен используется для составления парфюмерных композиций, при получении отдушек для мыла, косметических изделий, в синтезе некоторых душистых веществ.
Примечания
- ↑ https://phys.org/news/2020-12-giant-pandas-horse-manure.html Архивная копия от 9 декабря 2020 на Wayback Machine Why giant pandas roll around in horse manure
Литература
- Даффа реакция — Меди// Химическая энциклопедия в 5 томах. — М.: Большая Российская Энциклопедия, 1990. — Т. 2. — 671 с.

