Каррер, Пауль
| Пауль Каррер | |
|---|---|
| нем. Paul Karrer | |
| |
| Дата рождения | 21 апреля 1889 |
| Место рождения | Москва, Российская империя |
| Дата смерти | 18 июня 1971 (82 года) |
| Место смерти | Цюрих, Швейцария |
| Страна |
|
| Род деятельности | химик, преподаватель университета, биохимик |
| Научная сфера | органическая химия, биохимия |
| Место работы | Цюрихский университет |
| Альма-матер | Цюрихский университет |
| Награды и премии |
|
Пауль Каррер (нем. Paul Karrer; 21 апреля 1889, Москва, Российская империя — 18 июня 1971, Цюрих, Швейцария) — швейцарский химик-органик, математик и биохимик наиболее известный по работам, связанными с открытием витаминов. Лауреат Нобелевской премии совместно с У. Н. Хоуорсом (1937 год).
Биография
Пауль Каррер родился 21 апреля 1889 года в Москве в семье швейцарского дантиста. Его отец — Пауль Каррер, в честь которого был назван мальчик, и мать, Джулия Лерх, были родом из Тойфенталя и Оберентфельдена в кантоне Аргау. В 1892 году в возрасте трех лет Пауля Каррера перевезли в Швейцарию, где семья прожила до 1895 года в городе Эрленбах возле Цюриха.
Остаток детства и отрочество Каррер провел в маленькой деревне близ Аргау, откуда он поступил в начальную школу в Мёрикене, затем в среднюю школу в Ленцбурге и гимназию в Аргау, обучение в последней было построено на принципе «Изучай, думай, а потом говори». Этой аксиомы П. Каррер придерживался всю оставшуюся жизнь. В 1908 году П.Каррер начал изучать химию в университете в Цюрихе, профессором в которой был Альфред Вернер (A.Werner), основатель координационной теории.
Всего за 6 семестров Каррер получил кандидатскую степень изучая с А.Вернером химию комплексов кобальта. К 1911 году Каррер окончил Цюрихский университет и к тому времени уже успел проявить себя как успешный ученый, в этом же году А.Вернер предложил ему должность ассистента. Годом позже первая публикация П.Каррера, посвященная органическим соединениям мышьяка, была замечена П. Эрлихом, после чего Каррер был приглашен в качестве ассистента в George Speyer House во Франкфурте-на-Майне, членом которого он позже и стал.
Во время Первой мировой войны Каррер недолго служил в Швейцарской армии. В 1915 году П. Эрлих заболел и умер, П. Каррер был избран главой химических исследований George Speyer House и начал работы с растительными продуктами. В 1918 году он принял предложение быть адъюнкт-профессором в университете в Цюрихе. После смерти Вернера в 1919 году Каррер был избран в качестве его последователя, как полноправный профессор и директор химического Института. Всю свою жизнь Каррер бережно чтил память двух своих учителей — Вернера и Эрлиха.
С 1950 по 1952 Каррер был ректором Цюрихского Университета. В 1959, в возрасте 70 лет, он передал полномочия управления институтом Г. Шмидту. Пауль Каррер умер 18 июня 1971 после длительной болезни на восемьдесят третьем году жизни[1].
Научные исследования
Период исследования соединений мышьяка
В 1908 году Пауль Каррер начал собственные самостоятельные исследования соединений мышьяка, будучи ассистентом А. Вернера в Цюрихе. Он получил мышьяковые азосоединения и красители на основе феназина из неизвестных до него нитрозоарил-мышьяковых кислот (1), синтез которых он запатентовал. После приглашения П.Эрлиха, он продолжил научную деятельность во Франкфурте, подчиняя её следующему принципу:
...Несмотря на то, что фармацевтическая отрасль развивалась благодаря замечательным открытиям П. Эрлиха и до ароматических соединений мышьяка, многие из важнейших лекарств остаются не исследованными с химической точки зрения. Ряд свойств, хорошо известных и описанных для производных бензола, нафталина и антрацена, до сих пор не изучены для ароматических соединений мышьяка. Следовательно, было бы желательно заполнить эти пробелы.

Работая с П.Эрлихом, создателем противосифилитического «препарата 606», Каррер исследовал химию растворов сальварсана. Несмотря на то, что к тому времени сальварсан уже несколько лет успешно применялся в клинической практике, его строение все ещё представляло загадку. Так Каррер исследовал комплексы сальварсана с солями золота и серебра с целью установления строения препарата[2]. Кроме того, в ходе исследований выяснилось, что медный комплекс сальварсана показывает хорошую экспериментальную и клиническую активность на бактерии спириллы и паразитические одноклеточные семейства трипаносомовых, серебряный сальварсан (3, формула была предложена Каррером) позже был введен в медицинскую практику И. Г. Фарбеном. Это увлечение Каррера органическими производными мышьяка продлилось около восьми лет завершившись в 1916 году и принесло ему 15 публикаций и 8 патентов[3].
Период исследования углеводов
Во Франкфурте в 1916 году Каррер начал работать над новой темой — исследованием углеводов. Разработки в данной области продолжались вплоть до 1955 года.
Гликозиды

- Согласно исследованиям Каррера наиболее предпочтительным методом гликозидирования является реакция спиртов с ацетобромглюкозой в присутствии Ag2CO3 с образованием ацетилированных алкилгликозидов и последующим щелочным гидролизом ацетильных групп. При использовании фенолов вместо спиртов получают ацетилированные арилгликозиды[1].
- Каррер показал интересную особенность реакции серебряных солей о-гидрокси-, о-аминокарбоновых кислот, а также α-гидроксикарбоновых кислот с ацетобромглюкозой: кроме ожидаемых ацетилированных эфиров сахаров образуются также ацетилированные кислоты. В некоторых случаях наблюдается также образование дизамещенных продуктов[4].

Реакция о-гидрокси-, о-амино-, а также α-гидроксикарбоновых кислот с ацетобромглюкозой
К этому моменту П.Каррер уже был избран полноправным профессором и директором химического Института в Цюрихе. Он кардинально изменил природу исследований, проводимых в институте, заменил исследования по неорганическим темам на исследования природных продуктов: запустил работы по синтезу природных гликозидов.
- Каррером был предложен изящный метод разделения рацематов, основанный на его работах по изучению взаимодействия серебряной соли D/L-миндальной кислоты и других подобных рацематов с ацетобромглюкозой. Им было показано, что в результате реакции реагирует лишь один из энантиомеров[5].

Моно- и дисахариды
- Исследования моно- и дисахаридов начались в 1920 году. Уже в 1921 году был разработан метод синтеза ангидридов сахаров, в частности, такого важного как левоглюкозан. Щелочной гидролиз ацетилированного бромида тетрааммонийсахарида приводит к образованию желаемого ангидрида[7].
- Впервые было обнаружено, что такие дисахариды как мальтоза, лактоза и целлобиоза могут быть восстановлены водородом под давлением на никелевом катализаторе до мальтитола, лактитола, целлобитола[8].

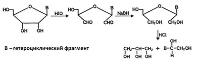
- Схема, представленная ниже наглядно иллюстрирует микрометод, описанный Каррером в последней его работе по сахарам, для определения кольцевой структуры нуклеозидов. Структуру, образующегося в результате такого расщепления спирта, например, глицерина производят методом бумажной хроматографии[9].
Полисахариды
- Работу по исследованию полисахаридов Каррер начал в 1920 году, результатом её стали 46 публикаций позже объединённые в монографию. Начало было положено после признания Карерром предположений о макромолекулярном строении полисахаридов, выдвинутых Г. Штаудингером.
- Впервые успешно была проведена реакция гидролиза хитина, которая привела к получению N-ацетилглюкозоамина, чем и было доказано, что ацетильная группа присоединена к атому азота. Эти же исследования показали принадлежность глюкозамина к серии D-аминокислот, что было установлено путем измерения угла вращения[10].
Вторая мировая война не стала преградой для научной деятельности П.Каррера, именно в это время им были получены смешанные эфиры полисерных кислот и карбоксиметилцеллюлозы[1].
Период исследования аминокислот и белков
1916—1955 годы были ознаменованы открытиями в области аминокислот и белков.
Аминокислоты

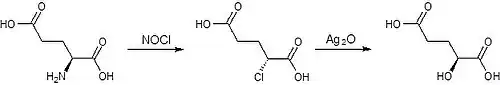
- Исследованию аминокислот и белков положило начало наблюдение Каррером вальденовского обращения в α-аминокислотах. Он обратил внимание, что L-глутаминовая кислота под действием хлорида нитрозила превращается в D-хлорглутаровую кислоту, которая в присутствии оксида серебра (II) находится в равновесии с L-гидроксиглутаровой кислотой[11].
- Дальнейшие исследования Каррера в этой области были направлены на выяснение конфигураций остальных аминокислот, выделенных из альбумина. По результатам своих работ он сделал вывод, что все незаменимые аминокислоты человека принадлежат L-ряду[11].
- В период 1948—1949 годов П.Каррер вернул свое внимание к аминокислотам. Было проведено систематическое восстановление всех эфиров аминокислот с помощью Li[AlH4][12]. Так лейцин давал лейцинол.
Белки
В 1924—1925 годах были проведены работы по выделению двух белков-токсинов. Рицин был выделен из семян клещевины. Вторым выделенным белком был кротин.
В сферу интересов П.Каррер попадало слишком много разделов органической химии, чтобы сказать, что в какой-то период своей жизни он занимался чем-то одним. Каррер был великолепным ученым и наставником, обладал никогда не подводящим его научным чутьем, но в первую очередь он был превосходным химиком-синтетиком, уделял много внимания спектроскопическим характеристикам веществ и методам выделения, некоторые из них он усовершенствовал и внедрил в широкую практику: селективная адсорбция по Р. Вильштеттеру, ультрацентрифугирование по Т. Сведбергу, хроматографический анализ по М. Цвету[1]. В 1926—1927 годах П.Каррер активно изучал лецитины и танины. Полученные им танины были разделены на различные фракции селективной адсорбцией на гидроксиде алюминия, повторенной 60 раз; они отличались друг от друга вращением и содержанием галловой кислоты. Каррер был первым, кто получил кристаллический танин[13].
Период исследования ароматических структур

Может быть, благодаря своему сотрудничеству с П.Эрлихом, Каррер очень часто преследовал в своих работах фармацевтические цели. В 1920 он выделил некоторые дигидроакридины, обладающими сильными антисептическими свойствами. В последующие годы синтезировав составляющие вещества щитовника мужского, он смог объяснить причины его лекарственного действия. Обнаружил, что флороглюцин в реакции с изокапронитрилом образует флороизокапрофенон, у которого при испытаниях на ленточных червях была обнаружена антигельмитная активность сравнимая с активностью филиксовой кислоты[14].
Определение структуры сквалена

Сквален — углеводород тритерпенового ряда, широко распространенный в животном и растительном мире, является главным компонентом печени некоторых видов акул. Каррер показал, что конденсация двух молекул фарнезил бромида в присутствии магния приводит к продукту, который после очистки, аналогично природному сквалену, можно превратить в смесь кристаллических гексагидрохлоридов с характеристической Тпл = 143—145°.
Позже И. Хеилброн, работая с полученным таким образом скваленом, проводил его окислительный распад, из чего однозначно следовало, что в состав сквалена входит структурный элемент фарнезила. Это лишь подтвердило работы, опубликованные П.Каррером ранее[15].
Открытие новых реакций

- Pеакция галогеновых производных с медью в присутствии пиридина[16].
- Реакция окисления α-дикетонов, о-хинонов перфталевой кислотой до ангидридов соответствующих дикарбоновых кислот[17].
- Реакция окисления α-кето-карбоновых кислот до моноэфиров соответствующих ангидридов[17].
- Открытая П.Каррером серия превращений:

При действии на N-метил-4,7-фенантролин йодид NaBH4 получается орто-дигидропроизводное, которое при перегонке превращается в пара-дигидропроизводное, которое можно получить непосредственно, обрабатывая N-метил-4,7-фенантролин йодид Na2SO4[18].
• Из эфира α-циклогераниевой кислоты в пять стадий был синтезирован шафранал — агент, обеспечивающий характерный аромат соответствующей пряности[19].
Период исследования природных красителей, отличных от каротиноидов
Антоцианы
Интерес Каррера к химическим структурам окрашенных веществ привел его в 1925 году к новой сфере научной деятельности. Вслед за Р. Вильштеттером (1913) и Р. Робинсоном (1920) П.Каррер начал изучать химию антоцианов. Он привнес значительный вклад в развитие аналитических методов, способствующих установлению строения антоцианов, например, позиций сахаридных и метокси-групп. Один из методов определения положения сахаридной группы основан на мягком окислении антоциана[20]:

На примере мальвин хлорида было показано, что H2O2 окисляет антоциан, образуя мальвон в данном случае. Метод определения структуры в данном основан на том, что сахаридную, в то время как сахаридная группа в 5-м положении, соединённая с ароматическим кольцом гликозидной связью, может быть разрушена только кислотным гидролизом[20].
Применение методов перекристаллизации и хроматографии дало право П.Карреру заключить, что цвет ягоды или цветка — всегда суммарный вклад нескольких красящих веществ. Кроме того, цвет соединения зависит от кислотности среды.
Флавонолы
Каррером впервые была показана возможность взаимопревращений антоцианов и соответствующих флавонолов.
Красящие соединения были предметом исследования Каррера вплоть до 1932 года. Особенно стоит отметить его совместные работы с Р. Швайзером о птериновых и птеридиновых красителях, работы с М. Висконтини о флуоресцентных соединениях из глаза чернобрюхой дрозофилы. Масштаб его работы говорит сам за себя, помимо прочего им были выделены и исследованы следующие красители: монаскин, лактаровиолин, хиноны рода Fuerstia и дитерпеновые пигменты листьев coleon A и coleon B, кроцин[1].
Период исследования каротиноидов
Работа по изучению кроцина в 1927 году подтолкнула Каррера начать исследование каротиноидов. Каротиноиды включают две основных группы структурно близких веществ: каротины и ксантофиллы.
Он обратил свое внимание на эту области практически в то же время что и Кун, что придало их отношениям соревновательный характер. В 1930 Каррер открыл строение ликопина — красящего вещества томата. Установлению структуры каротиноида предшествовали параллельное проведение серии реакций окислительной деструкции с помощью O3, K2Cr2O7, KMnO4 и гидрирования водородом[15].

Пергидроликопин стал первым каротиноидом, для которого предположили структуру, состоящую из четырёх изопреновых групп. На основании данного предположения был успешно выполнен синтез соединения[21].
Путем исследования пигмента моркови Каррером и Куном были получены оптически неактивный β—каротин и оптически активный α—каротин. Каррер установил их структуру проведя реакцию озонолиза. Результаты этих исследований позволили П. Карреру предположить, что β—каротин является составляющей витамина A[22].
Также Каррер проводил исследования пигмента кукурузы, зеаксантина (β-каротин-3,3'-диола), пигмента листьев и желтка — лютеина (α- каротин-3,3'-диола), открыл строение ретродегидро-бетта-каротин-3,3'-диола, родоксантин был превращен в зеаксантин, изучены их химические свойства. В дальнейшем Каррер занимался исследованием каротиноидов фотосинтетических бактерий[23].
В 1950 Каррер и Eugster впервые осуществили синтез кристаллического β-каротина, используя в качестве исходных соединений: С8-дион, и ацетиленкарбинол. В основу синтетической схемы была положена реакция Гриньяра. Гидрирование и последующая изомеризация привели к получению β-каротина[1].
Период исследования жирорастворимых витаминов
Период исследования водорастворимых витаминов и коэнзимов
Витамины C и B2
Коферменты
Период исследования водорастворимых алкалоидов
Педагогическая деятельность
Каррер руководил своим относительно небольшим институтом. До конца жизни он остался верен Цюрихскому Университету. Его студентов всегда вдохновляла его преданность своему делу. Несмотря на высокую должность и недостаток времени, Каррер по возможности старался посещать каждого из своих коллег и студентов пару раз в день. Многие из его учеников устроились работать в области промышленного производства, а некоторые из них даже достигли высочайших постов. Кое-кто из его ассистентов стали лекторами или начали собственную научную карьеру.
В своих воспоминаниях, предназначенных только для его семьи, Каррер писал:
Я провел свои самые счастливые годы с моими студентами, разделяя их горе и радости.
Основные работы
- 1042 статьи, 78 патентов.
- «Einführung in die Chemie der polymeren Kohlenhydrate» — введение с химию углеводов, книга, опубликованная П.Каррером в 1925 году.
- «Lehrbuch der organischen Chemie» — введение в органическую химию, книга, опубликованная П.Каррером в 1928 году
- В 1948 году совместно с E. Jucker вышла монография Пауля Каррера «Каротиноиды».
Научные достижения
1923 — установлена конфигурация всех аминокислот, полученных из белков
1930 — определена симметричная формула ликопина, β-каротина и сквалена
1931 — установлена структуры витамина A (ретинола)
1935 — осуществлен синтез витамина B2 (рибофлавина)
1938 — осуществлен синтез витамина E (d, l-α-токоферол)
1939 — осуществлен препаративный синтез витамина K1 (нафтохинона)
1942 — заложены основы для установления строения никотинамидадениндинуклеотида (НАД)
1948 — открытие большого числа эпоксидов каротиноидов
1950 — разработан метод синтеза углеводородов каротинового типа
1958 — определена структура и проведен частичный синтез токсиферина и связанных с ним алкалоидов
1958 — проведен синтез кантаксантина из β-каротина
Почести и награды
В 1937 году Карреру была присуждена Нобелевская премия по химии за исследование каротиноидов и флавинов, а также за открытие витаминов A и B2. Эту премию он разделил с английским химиком У. Н. Хоуорсом (W. N. Haworth), который был отмечен за исследования в области карбогидратов и витамина C.
Память
По случаю 70-го дня рождения Каррера были учреждены ежегодные чтения имени Пауля Каррера, где избранный исследователь докладывал о трудах своей жизни и получал золотую медаль Пауля Каррера. Кроме того, П.Каррер основал «Фонд продвижения междисциплинарных семинаров в Швейцарии Фрица Гоффманна — Ла Роше» и «Стипендиальный химический фонд».
Свой восьмидесятый день рождения Пауль Каррер отметил симпозиумом и исторической выставкой в Институте Химии.
В 1979 году Международный астрономический союз присвоил имя Пауля Каррера кратеру на обратной стороне Луны.
Семья
В 1914 Пауль Каррер женился на дочери директора психиатрической клиники, в которую был влюблен долгое время — Хелен Фролих. В этом счастливом браке у них родилось трое сыновей, однако один из них умер вскоре после рождения. Каррер оценивал годы, прожитые во Франкфурте, как самый вдохновлявший период своей жизни.
По состоянию здоровья Карреру приходилось вести размеренную жизнь. Каррер жил достаточно просто, хотя он был довольно состоятельным человеком. У него был большой дом в Цюрихберге, однако за неимением машины, в институт он ездил на общественном транспорте.
Личные качества
Пауль Каррер был человеком среднего роста и хрупкого телосложения. За этой внешней утонченностью скрывалась неудержимая и непоколебимая воля в сочетании с блестящим интеллектом. Он славился своей пунктуальностью, чувством ответственности и абсолютной надежностью. Он был хорошо образованным и воспитанным человеком, его интересы лежали не только в естественно-научной области, но и в гуманитарных науках. Всех, кому посчастливилось знать его, поражала его самодисциплина, усердие, сдержанность и доброта.
У Карерра были отличные взаимоотношения с коллегами по химической и сопряженным областям деятельности, таким как биохимия, биология, фармакология и медицина.
Примечания
- 1 2 3 4 5 6 Isler O. Paul Karrer (21 April 1889- 18 June 1971) // Biographical memoirs of fellows of the royal society, 1978, v. 24, p. 245—321 Архивная копия от 3 января 2017 на Wayback Machine
- ↑ Karrer P. Die Konstitution der Arseno‐metallverbindungen // Berichte der deutschen chemischen Gesellschaft (A and B Series), 1919, v. 52, № 11, p. 2319—2324 Архивная копия от 3 января 2017 на Wayback Machine
- ↑ Ehrlich P., Karrer P. Über Arseno‐stibino‐und Arseno‐bismuto‐Verbindungen // Berichte der deutschen chemischen Gesellschaft, 1913, v. 46, № 3, p. 3564-3569 Архивная копия от 3 января 2017 на Wayback Machine
- ↑ Karrer P., Nägeli C., Weidmann H. Synthetische Glucoside (III) und ein Beitrag zur Konstitution innerer Komplexsalze // Helvetica Chimica Acta, 1919, v. 2, № 1, p. 242—265 Архивная копия от 3 января 2017 на Wayback Machine
- ↑ Karrer P., Nägeli C., Smirnoff A. P. Smirnoff A. P. Glucoside X. Ueber den Umsatz von d, l‐Acetobrom‐glucose mit dem Silbersalz der d, l‐Mandelsäure // Helvetica Chimica Acta, 1922, v. 5, № 1, p. 141—146 Архивная копия от 3 января 2017 на Wayback Machine
- ↑ Karrer P., Widmer A., Staub J. Weitere Mitteilung über den Umsatz von Acetohalogenzuckern mit tertiären Basen // Helvetica Chimica Acta, 1924, v.7, № 1, p. 519—527 Архивная копия от 3 января 2017 на Wayback Machine
- ↑ Karrer P. et al. Eine neue Methode zur Gewinnung von Anhydrozuckern // Helvetica Chimica Acta, 1921, v. 4, № 1, p. 817—820 Архивная копия от 3 января 2017 на Wayback Machine
- ↑ Karrer P., Büchi J. Reduktionsprodukte von disacchariden: maltit, lactit, cellobit // Helvetica Chimica Acta, 1937, v.20, № 1, p. 86-90 Архивная копия от 3 января 2017 на Wayback Machine
- ↑ Viscontini M., Hoch D., Karrer P. Mikromethode zur Bestimmung der Ringstruktur des Zuckerrestes bei Nucleosiden // Helvetica Chimica Acta, 1955, v. 38, № 3, p. 642—645 Архивная копия от 4 января 2017 на Wayback Machine
- ↑ Karrer P., Hofmann A. Polysaccharide XXXIX. Über den enzymatischen Abbau von Chitin und Chitosan I // Helvetica Chimica Acta, 1929, v. 12, №. 1, p. 616—637 Архивная копия от 4 января 2017 на Wayback Machine
- 1 2 Karrer P., Schlosser A. Untersuchungen über die Konfiguration der Aminosäuren I // Helvetica Chimica Acta, 1923, v. 6, № 1, p. 411—418 Архивная копия от 4 января 2017 на Wayback Machine
- ↑ Karrer P., Portmann P. Reduktion von L‐Tryptophan‐methylester mit LiAlH4 // Helvetica Chimica Acta, 1949, v. 32, № 3, p. 1034—1035 Архивная копия от 4 января 2017 на Wayback Machine
- ↑ Karrer P., Salomon H. R. Krystallisierte synthetische Gerbstoffe I // Helvetica Chimica Acta, 1922, v. 5, № 1, p. 108—123 Архивная копия от 4 января 2017 на Wayback Machine
- ↑ Karrer P. Über Oxycarbonylverbindungen II. Synthetische Versuche in der Filixgruppe // Helvetica Chimica Acta, 1919, v. 2, № 1, p. 466—481 Архивная копия от 4 января 2017 на Wayback Machine
- 1 2 Karrer P. et al. Pflanzenfarbstoffe XXV. Über die Konstitution des Lycopins und Carotins // Helvetica Chimica Acta, 1930, v. 13, № 5, p. 1084—1099 Архивная копия от 4 января 2017 на Wayback Machine
- ↑ Karrer P. et al. Über den Umsatz organischer Halogenverbindungen mit Kupfer bei Anwesenheit von Pyridin // Helvetica Chimica Acta, 1928, v.11, № 1, p. 233—239 Архивная копия от 4 января 2017 на Wayback Machine
- 1 2 Karrer P., Schwyzer R., Neuwirth A. Oxydation von 4‐Methyl‐o‐benzochinon zu cis‐cis‐β‐Methyl‐muconsäure‐anhydrid // Helvetica Chimica Acta, 1948, v. 31, № 5, p. 1210—1214 Архивная копия от 4 января 2017 на Wayback Machine
- ↑ Traber W., Hubmann M., Karrer P. Reduktionsprodukte des N‐Methyl‐p‐phenanthrolin‐monojodmethylats, Isochinolin‐N‐oxyds und Phenanthridin‐N‐oxyds // Helvetica Chimica Acta, 1960, v. 43, № 1, p. 265—269 Архивная копия от 4 января 2017 на Wayback Machine
- ↑ Garbers C. F., Schmid H., Karrer P. Modifikation der C‐Methylbestimmungsmethode bei Verwendung kleinster Substanzmengen // Helvetica Chimica Acta, 1954, v. 37, № 4, 1336—1338 Архивная копия от 4 января 2017 на Wayback Machine
- 1 2 Karrer P., De Meuron G. Pflanzenfarbstoffe XL. Zur Kenntnis des oxydativen Abbaus der Anthocyane. Konstitution des Malvons // Helvetica Chimica Acta, 1932, v. 15, № 1, 507—512 Архивная копия от 4 января 2017 на Wayback Machine
- ↑ Karrer P. et al. Pflanzenfarbstoffe XXIX. Die Symmetrisch Lycopinformel. Perhydro‐lycopin // Helvetica Chimica Acta, 1931, v. 14, № 1, p. 435—438 Архивная копия от 4 января 2017 на Wayback Machine
- ↑ Karrer P., Schöpp K., Morf R. Pflanzenfarbstoffe XLII. Zur Kenntnis der isomeren Carotine und hre Beziehungen zum Wachstumsvitamin A // Helvetica Chimica Acta, 1932, v. 15, № 1, p. 1158—1165 Архивная копия от 4 января 2017 на Wayback Machine
- ↑ Karrer P., Eugster C. H. Synthese von Carotinoiden II. Totalsynthese des β‐Carotins I // Helvetica Chimica Acta, 1950, v. 33, № 5, p. 1172—1174 Архивная копия от 4 января 2017 на Wayback Machine
