Магнезон
| Магнезон I | |
|---|---|
| |
| Общие | |
| Хим. формула | C12H9N3O4 |
| Физические свойства | |
| Молярная масса | 259,318 г/моль |
| Термические свойства | |
| Температура | |
| • плавления | 195—200 °C |
| Классификация | |
| Рег. номер CAS | 74-39-5 |
| PubChem | 6320 |
| Рег. номер EINECS | 200-808-5 |
| SMILES | |
| InChI | |
| ChEBI | 66930 |
| ChemSpider | 11341372 |
| Приведены данные для стандартных условий (25 °C, 100 кПа), если не указано иное. | |
Магнезоны — группа реагентов для определения ионов металлов магния, кальция, кадмия, стронция, бария.
Магнезон I или азофиолетовый,[1] — [4-(n-нитрофенилазо)резорцин], тёмно-красные кристаллы с температурой плавления 195—200 °С (с разложением). Вещество в своей обычной форме не растворимо в воде, плохо — в кипящем этаноле, ацетоне, толуоле, уксусной кислоте. Соединение растворимо в щелочах с образованием раствора малинового цвета.[2][3]
Магнезон I получают диазотированием п-нитроанилина и последующей реакцией азосочетания с резорцином.[2] Вещество является кислотно-основным индикатором (при рН 11,5-13,2 переход окраски от лимонно-жёлтой к тёмно-сиреневой), а также реагентом для обнаружения магния (отсюда название); в присутствии 0,1-молярного KOH[4] окрашивает раствор. содержащий ионы магния, в насыщенный синий цвет; возможен также синий осадок. Предел обнаружения ионов магния – 0,5 мкг в 1 капле раствора.[3] Применяется также для получения индикаторной бумаги.
Помимо магния магнезон I реагирует также на алюминий, хром и железо (осаждаются с помощью нитрита натрия); медь, кадмий, кобальт и никель (маскируются цианид-ионом), а также на марганец и аммоний. Не мешают определению ионы бария, кальция и стронция.[4]
Магнезон II — [4-(n-нитрофенилазо)-1-нафтол], оранжево-красные кристаллы,[3] или тёмно-коричневые или красные иглы со стальным блеском.[2] Температура плавления оранжево-красной формы 270—275 °С (с разложением);[3] полиморф же игольчатый плавится при 234—235 °С и разлагается при 255—260 °С.[2] Растворимость в обычных органических растворителях плохая; лучше — в кипящем нитробензоле. Хороша растворимость соединения в водных растворах щелочей (как и у магнезона I); цвет полученного раствора — красно-фиолетовый.[2]
Магнезон II получают диазотированием п-нитроанилина и последующей реакцией азосочетания с 1-нафтолом.[2] Предел обнаружения ионов магния – 0,5 мкг в 1 капле раствора.[3]
| Магнезон ХС | |
|---|---|
| |
| Общие | |
| Хим. формула | C12H8ClN2NaO6S |
| Физические свойства | |
| Молярная масса | 366,71 г/моль |
| Классификация | |
| Рег. номер CAS | 104332-87-8 |
| PubChem | 136449258 |
| Рег. номер EINECS | 200-808-5 |
| SMILES | |
| InChI | |
| ChEBI | 66930 |
| ChemSpider | 11341372 |
| Приведены данные для стандартных условий (25 °C, 100 кПа), если не указано иное. | |
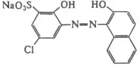
Магнезон ХС или Магнезон ИРЕА, Хромовое бордо[5] — натриевая соль 2-гидрокси-5-хлор-3-(2-гидрокси-1-нафтилазо)бензолсульфокислоты, кирпично-красные кристаллы, растворимые в воде, спиртах, ацетоне,[3] но нерастворимые в бензоле, толуоле, хлороформе и эфире.[2] Водный раствор (0,01%) красный в нейтральной среде и синий в щелочной; ацетоновый раствор (0,01%) оранжевый. Является родственником семейству красителей Судан. Реагент для спектрофотометрического определения со следующими характеристиками и условиями определения:[3][2]
| Металл | λанализа, нм | λмакс, нм | εмакс | Условия | Цвет или его изменения |
|---|---|---|---|---|---|
| Магний | 610 | 530 | 19 600 | pH 10, вода/ацетон | переход от сине-фиолетовой к ярко-красной окраске |
| Цинк | 620 | 550 | 13 000 | pH 9—10, вода/ацетон | переход от синей к фиолетовой окраске |
| Медь | 560 | 540 | 22 000 | pH 2, вода/ацетон | — |
| Молибден | 560—580 | 465 | — | водный раствор H2SO4 | — |
Предел обнаружения — около 12 мкг в 5 мл раствора.[3] Помимо вышеупомянутых, образует окрашенные комплексы с Ca, Al, Fe3+, Co, Ni, Pb, Cd, Mn, V, Ce, La, Pd.[2]
Также — ввиду высокой скорости реакции комплексообразования[2] — является металлохромным индикатором при титровании для магния (pH перехода 9,8—11,2),[2] кальция и кадмия (pH 11,5), а также бария (pH 12,5).[3]
См. также
Литература
- «Химические реактивы и препараты», Москва, 1969 г
- «Заводская лаборатория», Т. В. Чернышева 1971 г
- ↑ Сиггиа, С.; Ханна, Дж. Г. Количественный органический анализ по функциональным группам. — Москва: Химия, 1983. — Т. 2. — С. 50—51. Архивировано 2 августа 2018 года.
- 1 2 3 4 5 6 7 8 9 10 11 Краткая химическая энциклопедия (неопр.) / И. Л. Кнунянц.. — Москва: Советская Энциклопедия, 1963. — Т. 2. — С. 1002.
- 1 2 3 4 5 6 7 8 9 Химическая энциклопедия (неопр.) / И. Л. Кнунянц.. — Москва: Советская Энциклопедия, 1990. — Т. 2. — С. 1231.
- 1 2 Никольский, Б. П. Справочник химика (неопр.). — 2. — Ленинград: Химия, 1967. — Т. 4. — С. 197.
- ↑ 104332-87-8 CAS MSDS (Chrome Bordeaux FB) Melting Point Boiling Point Density CAS Chemical Properties. Дата обращения: 1 ноября 2019. Архивировано 1 ноября 2019 года.
- ↑ Иванов, В. М.; Рыбаков, А. В.; Фигуровская, В. Н.; Кочелаева, Г. А.; Прохорова, Г. В. Химико-аналитические характеристики комплексов молибдена(6) с люмогаллионом ИРЕА (магнезоном ИРЕА) в присутствии гидроксиламина // Вестник Московского Университета : журнал. — Т. 38, № 5. — С. 345—349. Архивировано 1 ноября 2019 года.
- ↑ Lumogallion | C12H9ClN2O6S - PubChem

