Магнитная восприимчивость
Магни́тная восприи́мчивость — физическая величина, выражающая отношение между магнитным моментом единицы объёма (намагниченностью) вещества и напряжённостью магнитного поля в этом веществе[1].
Определение
Магнитная восприимчивость (и в системе СИ, и в СГС) определяется отношением намагниченности среды (эта величина равна дипольному магнитному моменту единицы объёма) к напряжённости намагничивающего магнитного поля :
- .
По своему смыслу восприимчивость является величиной безразмерной. Восприимчивость может быть пересчитана в магнитную проницаемость как
- (СИ), (СГС).
Иногда бывает полезно также ввести понятие удельной магнитной восприимчивости, равной восприимчивости единицы массы вещества. В СИ удельная восприимчивость измеряется в обратных килограммах (кг−1). Аналогично, молярная магнитная восприимчивость определяется как восприимчивость одного моля вещества и измеряется в обратных молях (моль−1).
Для магнетиков в переменных магнитных полях магнитную восприимчивость можно представить в виде комплексной величины, её мнимая часть связана с тепловыми потерями, обусловленными перемагничиванием вещества (см. Магнитная проницаемость). В анизотропных средах, где намагниченность, вообще говоря, не параллельна магнитному полю, магнитная восприимчивость является тензором: .
Типичные значения
Диа- и парамагнетики
Реальные объекты могут обладать как положительными, так и отрицательными магнитными восприимчивостями. Вещества с отрицательной магнитной восприимчивостью называются диамагнитными веществами (диамагнетиками) — их намагниченность по направлению противоположна приложенному магнитному полю. Положительной восприимчивостью обладают парамагнетики и ферромагнетики.
Магнитная восприимчивость диамагнетиков и парамагнетиков мала по абсолютной величине (для диамагнетиков она отрицательна) и обычно лежит в пределах порядка 10−4 — 10−6, при этом она практически не зависит от напряжённости приложенного магнитного поля. Заметные отклонения наблюдаются только в области сильных полей или низких температур.
Ферромагнетики

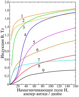
Вещества:
1 стандартная листовая сталь, отожжённая;
2 кремниевая листовая сталь, отожжённая, содержание кремния 2,5 %;
3 мягкая стальная отливка;
4 вольфрамистая сталь;
5 магнитная сталь;
6 чугун;
7 никель, 99 %;
8 литой кобальт,
9 магнетит, Fe2O3
В ферромагнетиках магнитная восприимчивость может достигать весьма больших значений, составляя величины от нескольких десятков до многих тысяч единиц, причём наблюдается её сильная зависимость от напряжённости приложенного поля. Поэтому для удобства используют также дифференциальную магнитную восприимчивость, равную производной намагниченности единицы объёма вещества по напряжённости поля. В отсутствие поля дифференциальная магнитная восприимчивость ферромагнетиков отлична от нуля и имеет некоторое положительное значение , называемое начальной магнитной восприимчивостью. С увеличением напряжённости поля величина дифференциальной магнитной восприимчивости растёт, пока не достигает некоего максимума , после чего вновь уменьшается. В области очень сильных полей магнитная восприимчивость ферромагнетиков (при температурах, не очень близких к точке Кюри) падает практически до нуля, сравниваясь с величиной восприимчивости обычных парамагнетиков (эта область параметров называется областью парапроцесса).
Вид зависимости магнитной восприимчивости ферромагнетика от напряжённости намагничивающего поля носит название кривой Столетова и обусловлен сложными механизмами намагничивания ферромагнетиков.
Значения и некоторых ферромагнетиков в нормальных условиях:
Зависимость от температуры
Магнитная восприимчивость большинства веществ (за исключением большей части диамагнетиков и некоторых парамагнетиков — щелочных и, в меньшей степени, щёлочноземельных металлов) зависит от температуры вещества. У парамагнетиков магнитная восприимчивость уменьшается с температурой, подчиняясь закону Кюри — Вейса. У ферромагнетиков магнитная восприимчивость с ростом температуры увеличивается, достигая резкого максимума вблизи точки Кюри (см. эффект Гопкинсона).
Магнитная восприимчивость антиферромагнетиков увеличивается с ростом температуры до точки Нееля, а затем падает по закону Кюри — Вейса[2].
Магнитная восприимчивость почв
Магнитная воприимчивость почв зависит от соотношения в ней диа-, пара-, и ферромагнетиков. Она возрастает в почвах, богатых окристаллизованными оксидами железа (что характерно в верхних горизонтах почв аридных районов), резко снижена в оглееных почвах и органических горизонтах, обыкновенно снижается при возрастании выветрелости первичных пород.
См. также
Примечания
- ↑ Магнитная восприимчивость // Большая советская энциклопедия : [в 30 т.] / гл. ред. А. М. Прохоров. — 3-е изд. — М. : Советская энциклопедия, 1969—1978. в Большой советской энциклопедии
- ↑ Энциклопедический словарь юного физика / Сост. В. А. Чуянов. — М.: Педагогика, 1984. — 352 с.
Литература
- С. В. Вонсовский. Магнетизм. — М.: Наука, 1971. — 1032 с.
- Бозорт Р. Ферромагнетизм / Под ред. Кондорского Е. И., Лившица Б. Г.. — М.: Изд-во иностранной литературы, 1956. — 784 с.
- Магнитные свойства диа- и парамагнетиков // Таблицы физических величин : Справочник / Под ред. акад. И. К. Кикоина. — М.: Атомиздат, 1976. — С. 507—522. — 1008 с. — 28 000 экз.