Радиалены
| Радиалены | |
|---|---|
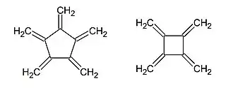
![]() Структурные формулы [5]-радиалена и [4]-радиалена | |
| Общие | |
| Систематическое наименование |
Радиалены |
| Традиционные названия | Радиалены |
| Приведены данные для стандартных условий (25 °C, 100 кПа), если не указано иное. | |
Радиалены — класс органических веществ-углеводородов, состоящие из циклоалкана с присоединенными к каждому углероду метиленовыми группами. Из-за таковой структуры наблюдается сопряжение всех двойных связей в молекулы. Входит в семейство органических соединений олефинов, включающее непредельные углеводороды, которые содержат в своей структуре одну или несколько двойных связей.
В зависимости от размера цикла им даются названия [N]-радиалены, где N — количество атомов углерода в цикле.
Реакционная способность
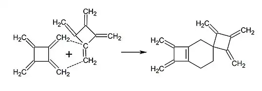
Вещества данного класса обладают колоссальной реакционной способностью за счет межмолекулярной происходящей реакции Дильса-Альдера (РДА), в которой радиалены выступают и как диены, и как диенофилы. Схему реакции (первую стадию) можно представить как:

Из-за большой реакционной способности по вышеприведённой схеме относительно устойчивыми являются лишь [3]-радиален и [4]-радиален: остальные представители класса радиаленов быстро осмоляются, поэтому [6]-радиален и выше не получены на настоящий момент. Несколько лет назад был впервые получен [5]-радиален.[1]
Методы получения
Для получения [4]-радиалена можно прибегнуть к фотохимической [2+2]-димеризации винилового диола (1,4-дигидроксобутен-2) с последующим элиминированием гидроксильных групп. Диол можно получить мягким окислением (по Вагнеру) бутадиена.
Примечания
- ↑ Emily G. Mackay, Christopher G. Newton, Henry Toombs-Ruane, Erik Jan Lindeboom, Thomas Fallon, Anthony C. Willis, Michael N. Paddon-Row, Michael S. Sherburn. [5Radialene] (англ.) // Journal of the American Chemical Society. — 2015-11-25. — Vol. 137, iss. 46. — P. 14653–14659. — ISSN 1520-5126 0002-7863, 1520-5126. — doi:10.1021/jacs.5b07445. Архивировано 5 мая 2023 года.
