Слизевая кислота
| Слизевая кислота | |
|---|---|
| |
| Общие | |
| Систематическое наименование |
2,3,4,5-тетрагидроксигександиовая кислота |
| Сокращения | Слизевая кислота |
| Традиционные названия | 2,3,4,5-тетрагидроксиадипиновая |
| Хим. формула | |
| Рац. формула | |
| Физические свойства | |
| Молярная масса | 210,14 г/моль |
| Термические свойства | |
| Температура | |
| • плавления | 213-214 °C |
| Химические свойства | |
| Растворимость | |
| • в воде | 0,14 (14°С) |
| • в воде | 1,67 (100°С) |
| • в диэтиловом эфире | труднорастворим |
| • в этаноле | не растворим |
| Классификация | |
| Рег. номер CAS | 526-99-8 |
| PubChem | 3037582 |
| Рег. номер EINECS | 208-404-0 |
| SMILES | |
| InChI | |
| ChEBI | 30852 |
| ChemSpider | 2301286 |
| Приведены данные для стандартных условий (25 °C, 100 кПа), если не указано иное. | |
Сли́зевая кислота́ (галакта́ровая кислота, муци́новая кислота) — химическое соединение, органическая двухосновная кислота с химической формулой . Относится к классу альдаровых кислот.
Вещество представляет собой белый кристаллический порошок с температурой плавления 213 °C.
Слизевая кислота нерастворима в спирте, эфире и холодной воде.
Из-за симметрии молекулы она оптически неактивна несмотря на присутствие хиральных атомов углерода (т. е. она является мезосоединением) .
Получение
Может быть получена окислением галактозы азотной кислотой или окислением лактозы азотной кислотой с выходом 30—40 %.
Химические свойства
При пиролизе слизевая кислота дегидратируется с образованием пирослизевой (фуран-2-карбоновой) кислоты, при нагревании аммонийной соли пирослизевой кислоты в глицерине происходит аналогичная реакция циклизации-дегидратации с образованием пиррола с выходом ~40%[1]:
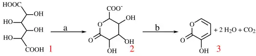
При нагревании в присутствии бисульфата натрия слизевая кислота образует 3-гидрокси-2-пирон:
Подвергается дезоксидегидратации в 3-пентаноле или 1-бутаноле (которые выступают в роли восстановителя), катализируемой метилтриоксорением с образованием соответствующих эфиров муконовой кислоты (гекса-2,4-диеновой)[2].
Применение
Вещество можно использовать для замены винной кислоты в разрыхлителях теста или в шипучих напитках.
Является прекурсором при синтезе противоракового препарата паклитаксела (Николау, 1994).
Примечания
- ↑ S. M. McElvain and K. M. Bolliger. PYRROLE. Org. Synth. 1929, 9, 78 DOI: 10.15227/orgsyn.009.0078
- ↑ Li, X.; Wu, D.; Lu, T.; Yi, G.; Su, H.; Zhang, Y. (2014). Highly Efficient Chemical Process to Convert Mucic Acid into Adipic Acid and DFT Studies of the Mechanism of the Rhenium-Catalyzed Deoxydehydration. Angewandte Chemie International Edition. 53 (16): 4200–4204. doi:10.1002/anie.201310991. PMID 24623498.


