Список катинонов

Список катинонов. К катинонам, подклассу амфетаминов и фенилэтиламинов, относится вещество катинон — (S)-2-амино-1-фенил-1-пропанон — и его производные, в которых один или несколько атомов водорода замещены следующими структурами:
- R1 = любая комбинация одного или нескольких алкильных, алкокси, алкилендиокси, галогеналкильных или галогенидных заместителей.
- R2 = любая алкильная группа.
- R3, R4 = любая алкильная группа или включение в циклическую структуру.
Список включает вещества, о синтезе которых сообщалось[1][2][3][4][5][6][7][8][9][10][11][12][13][14][15][16][17][18][19][20][21][22].
Список
| Структура | Название | R1 | R2 | R3 | R4 | CAS-номер |
|---|---|---|---|---|---|---|
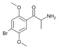
![]() | катинон (норэфедрон, β-кетоамфетамин) | H | Me | H | H | 71031-15-7 |
![]() | меткатинон (эфедрон) | H | Me | H | Me | 5650-44-2 |
![]() | эткатинон (этилпропион) | H | Me | H | Et | 51553-17-4 |
![]() | пропилкатинон | H | Me | H | nPr | 52597-14-5 |
![]() | буфедрон (MABP) | H | Et | H | Me | 408332-79-6 |
![]() | N-этилбуфедрон (NEB) | H | Et | H | Et | 1354631-28-9 |
![]() | N-метил-N-этилбуфедрон | H | Et | Me | Et | |
![]() | пентедрон | H | nPr | H | Me | 879722-57-3 |
![]() | N-этилпентедрон (α-EAPP, NEP) | H | nPr | H | Et | 18268-16-1 |
![]() | N-изопропилпентедрон | H | nPr | H | iPr | 18268-14-9 |
![]() | гекседрон | H | nBu | H | Me | 2169446-41-5 |
![]() | N-этилгекседрон (гексен, NEH) | H | nBu | H | Et | 18410-62-3 |
![]() | N-бутилгекседрон | H | nBu | H | nBu | 18296-66-7 |
![]() | N-изобутилгекседрон (NDH) | H | nBu | H | iBu | |
![]() | изогекседрон | H | iBu | H | Me | |
![]() | N-этилгептедрон | H | nPe | H | Et | |
![]() | октедрон | H | гексил | H | Me | |
![]() | метамфепрамон (диметилкатинон, N-метилэфедрон) | H | Me | Me | Me | 15351-09-4 |
![]() | амфепрамон (диэтилкатинон) | H | Me | Et | Et | 134-80-5 |
![]() | N-метил-N-этилкатинон | H | Me | Me | Et | 1157739-24-6 |
![]() | бупропион (велбутрин, зибан, амфебутамон) | 3-Cl | Me | H | t-Bu | 34911-55-2 |
![]() | гидроксибупропион | 3-Cl | Me | H | 2-Me-3-OH-пропан-2-ил | 357399-43-0 |
![]() | мефедрон (4-метилметкатинон, 4-MMC) | 4-Me | Me | H | Me | 1189805-46-6 |
![]() | 2-MMC | 2-Me | Me | H | Me | 1246911-71-6 |
![]() | 2-MEC | 2-Me | Me | H | Et | 1439439-84-5 |
![]() | 2-EMC | 2-Et | Me | H | Me | |
![]() | 2-EEC | 2-Et | Me | H | Et | 2446466-59-5 |
![]() | 3-MMC | 3-Me | Me | H | Me | 1246816-62-5 |
![]() | 3-MEC | 3-Me | Me | H | Et | 1439439-83-4 |
![]() | 3-EMC | 3-Et | Me | H | Me | |
![]() | 3-EEC | 3-Et | Me | H | Et | 2446466-61-9 |
![]() | 4-EMC | 4-Et | Me | H | Me | 1225622-14-9 |
![]() | 4-EEC | 4-Et | Me | H | Et | 2446466-62-0 |
![]() | 4-MC | 4-Me | Me | H | H | 31952-47-3 |
![]() | бензедрон | 4-Me | Me | H | Bn | 1225617-75-3 |
![]() | 2'-MeO-бензедрон | 4-Me | Me | H | 2-MeO-Bn | |
![]() | 2,N-диметилбензедрон | 2-Me | Me | Me | Bn | |
![]() | 3,N-диметилбензедрон | 3-Me | Me | Me | Bn | |
![]() | 4,N-диметилбензедрон | 4-Me | Me | Me | Bn | |
![]() | 4-MEC (4-метилэткатинон) | 4-Me | Me | H | Et | 1225617-18-4 |
![]() | 4-MPC | 4-Me | Me | H | nPr | |
![]() | N,N-DMMC | 4-Me | Me | Me | Me | 1448845-14-4 |
![]() | N,N-MEMC | 4-Me | Me | Me | Et | |
![]() | N,N-DEMC | 4-Me | Me | Et | Et | 676316-90-8 |
![]() | 4-MEAP | 4-Me | Pr | H | Et | 746540-82-9 |
![]() | EDMC | 4-Et | Me | Me | Me | |
![]() | 2,3-DMMC | 2,3-диметил | Me | H | Me | |
![]() | 2,3-DMEC | 2,3-диметил | Me | H | Et | |
![]() | 2,4-DMMC | 2,4-диметил | Me | H | Me | 1225623-63-1 |
![]() | 2,4-DMEC | 2,4-диметил | Me | H | Et | 1225913-88-1 |
![]() | 2,5-DMMC | 2,5-диметил | Me | H | Me | |
![]() | 2,5-DMEC | 2,5-диметил | Me | H | Et | |
![]() | 2,6-DMMC | 2,6-диметил | Me | H | Me | |
![]() | 2,6-DMEC | 2,6-диметил | Me | H | Et | |
![]() | 3,4-DMMC | 3,4-диметил | Me | H | Me | 1082110-00-6 |
![]() | 3,4-DMEC | 3,4-диметил | Me | H | Et | 1225811-81-3 |
![]() | 3,5-DMEC | 3,5-диметил | Me | H | Et | |
![]() | 2,4,5-TMMC | 2,4,5-триметил | Me | H | Me | 1368603-85-3 |
![]() | 2,4,5-TMOMC | 2,4,5-триметокси | Me | H | Me | |
![]() | 3,4,5-TMOMC | 3,4,5-триметокси | Me | H | Me | |
![]() | метедрон (метоксифедрин, βk-PMMA, 4-метоксиметкатинон) | 4-MeO | Me | H | Me | 530-54-1 |
![]() | диметедрон | 4-MeO | Me | Me | Me | 91564-39-5 |
![]() | этедрон | 4-MeO | Me | H | Et | |
![]() | 2-MOMC | 2-MeO | Me | H | Me | |
![]() | 3-MOMC | 3-MeO | Me | H | Me | 1435933-70-2 |
![]() | 3-FC | 3-F | Me | H | H | 1082949-91-4 |
![]() | 4-FC | 4-F | Me | H | H | 80096-51-1 |
![]() | 2-FMC | 2-F | Me | H | Me | 1186137-35-8 |
![]() | 2-FEC | 2-F | Me | H | Et | |
![]() | 3-FMC | 3-F | Me | H | Me | 1049677-77-1 |
![]() | 3-FEC | 3-F | Me | H | Et | |
![]() | 2-CMC | 2-Cl | Me | H | Me | |
![]() | 2-BMC | 2-Br | Me | H | Me | |
![]() | 2-IMC | 2-I | Me | H | Me | |
![]() | 2-TFMAP | 2-CF3 | Me | H | Me | |
![]() | клофедрон | 3-Cl | Me | H | Me | 1049677-59-9 |
![]() | 3-CEC | 3-Cl | Me | H | Et | 2150476-60-9 |
![]() | 3-BMC | 3-Br | Me | H | Me | 676487-42-6 |
![]() | 3-IMC | 3-I | Me | H | Me | |
![]() | 3-TFMAP | 3-CF3 | Me | H | Me | |
![]() | флефедрон (4-фторметкатинон, 4-FMC) | 4-F | Me | H | Me | 447-40-5 |
![]() | 4-FEC | 4-F | Me | H | Et | 1225625-74-0 |
![]() | клефедрон | 4-Cl | Me | H | Me | 1225843-86-6 |
![]() | 2-CEC | 2-Cl | Me | H | Et | |
![]() | 4-CEC | 4-Cl | Me | H | Et | 14919-85-8 |
![]() | 2-CiPC | 2-Cl | Me | H | iPr | |
![]() | 3-CiPC | 3-Cl | Me | H | iPr | |
![]() | 4-CiPC | 4-Cl | Me | H | iPr | |
![]() | 4-CBC | 4-Cl | Me | H | nBu | 1225621-71-5 |
![]() | 2-CDMC | 2-Cl | Me | Me | Me | |
![]() | 3-CDMC | 3-Cl | Me | Me | Me | |
![]() | 4-CDMC | 4-Cl | Me | Me | Me | 1157667-29-2 |
![]() | брефедрон | 4-Br | Me | H | Me | 486459-03-4 |
![]() | 4-BEC | 4-Br | Me | H | Et | 135333-26-5 |
![]() | 4-IMC | 4-I | Me | H | Me | |
![]() | 4-TFMAP | 4-CF3 | Me | H | Me | |
![]() | 4-EFMC | 4-(2-фторэтил) | Me | H | Me | |
![]() | 4-MTMC | 4-SCH3 | Me | H | Me | |
![]() | 4-MSMC | 4-SO2CH3 | Me | H | Me | |
![]() | 4-PHMC | 4-фенил | Me | H | Me | |
![]() | мекседрон | 4-Me | метоксиметил | H | Me | |
![]() | FMMC | 3-F-4-Me | Me | H | Me | 1696642-00-8 |
![]() | MFMC | 3-Me-4-F | Me | H | Me | 1368943-21-8 |
![]() | MMOMC | 3-Me-4-MeO | Me | H | Me | |
![]() | 3,4-DCMC | 3,4-дихлоро | Me | H | Me | 802281-39-6 |
![]() | 3,4-DCEC | 3,4-дихлоро | Me | H | Et | 1225618-63-2 |
![]() | 3,5-DCMC | 3,5-дихлоро | Me | H | Me | |
![]() | 3,5-DFMC | 3,5-дифтор | Me | H | Me | 1430343-55-7 |
![]() | 2,5-DMOMC | 2,5-диметокси | Me | H | Me | |
![]() | βk-2C-C | 2,5-диметокси-4-хлоро | H | H | H | 1538191-15-9 |
![]() | βk-2C-B | 2,5-диметокси-4-бромо | H | H | H | 807631-09-0 |
![]() | βk-2C-I | 2,5-диметокси-4-йодо | H | H | H | |
![]() | βk-2C-D | 2,5-диметокси-4-метил | H | H | H | 1368627-25-1 |
![]() | βk-2C-E | 2,5-диметокси-4-этил | H | H | H | 1517021-02-1 |
![]() | βk-2C-P | 2,5-диметокси-4-пропил | H | H | H | |
![]() | βk-2C-iP | 2,5-диметокси-4-изопропил | H | H | H | 1511033-62-7 |
![]() | βk-DOB | 2,5-диметокси-4-бромо | Me | H | H | |
![]() | βk-MDOM | 2,5-диметокси-4-метил | Me | H | Me | |
![]() | βk-MDA | 3,4-метилендиокси | Me | H | H | 80535-73-5 |
![]() | N-ацетил-βk-MDA | 3,4-метилендиокси | Me | H | ацетил | |
![]() | 2,3-MDMC | 2,3-метилендиокси | Me | H | Me | 1427205-87-5 |
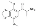
![]() | метилон (MDMC, 3,4-метилендиоксиметкатинон, βk-MDMA) | 3,4-метилендиокси | Me | H | Me | 186028-79-5 |
![]() | диметилон | 3,4-метилендиокси | Me | Me | Me | 109367-07-9 |
![]() | N-ацетилметилон | 3,4-метилендиокси | Me | ацетил | Me | |
![]() | N-гидроксиметилон | 3,4-метилендиокси | Me | гидрокси | Me | |
![]() | этилон (MDEC, βk-MDEA) | 3,4-метилендиокси | Me | H | Et | 1112937-64-0 |
![]() | диэтилон | 3,4-метилендиокси | Me | Et | Et | |
![]() | N-ацетилэтилон | 3,4-метилендиокси | Me | ацетил | Et | |
![]() | N-изопропил-βk-MDA | 3,4-метилендиокси | Me | H | iPr | |
![]() | MDPT | 3,4-метилендиокси | Me | H | t-Bu | 186028-84-2 |
![]() | бензилон (BMDP) | 3,4-метилендиокси | Me | H | Bn | 1823274-68-5 |
![]() | 3,4-EDMC | 3,4-этилендиокси | Me | H | Me | 30253-44-2 |
![]() | βk-IMP | 3,4-триметилен | Me | H | Me | 100608-69-3 |
![]() | βk-IBP | 3,4-триметилен | Et | H | Et | |
![]() | βk-IVP | 3,4-триметилен | nPr | H | Et | |
![]() | 3-фторбуфедрон | 3-F | Et | H | Me | |
![]() | 4-фторбуфедрон | 4-F | Et | H | Me | 1368599-12-5 |
![]() | 4-бромбуфедрон | 4-Br | Et | H | Me | |
![]() | 3-метилбуфедрон | 3-Me | Et | H | Me | 1797911-07-9 |
![]() | 4-метилбуфедрон | 4-Me | Et | H | Me | 1336911-98-8 |
![]() | 4-Me-NEB | 4-Me | Et | H | Et | 18268-19-4 |
![]() | 2-F-NEB | 2-F | Et | H | Et | |
![]() | 3-F-NEB | 3-F | Et | H | Et | |
![]() | 4-F-NEB | 4-F | Et | H | Et | |
![]() | 4-Me-DMB | 4-Me | Et | Me | Me | |
![]() | 3,4-DMEB | 3,4-диметил | Et | H | Et | |
![]() | 4-метоксибуфедрон | 4-MeO | Et | H | Me | |
![]() | бутилон (βk-MBDB) | 3,4-метилендиокси | Et | H | Me | 802575-11-7 |
![]() | эутилон | 3,4-метилендиокси | Et | H | Et | 802855-66-9 |
![]() | βk-PBDB | 3,4-метилендиокси | Et | H | nPr | |
![]() | Bn-4-MeMABP | 4-Me | Et | H | Bn | 1445751-39-2 |
![]() | BMDB | 3,4-метилендиокси | Et | H | Bn | 1445751-47-2 |
![]() | дибутилон | 3,4-метилендиокси | Et | Me | Me | 802286-83-5 |
![]() | βk-MMDMA | 3,4-метилендиокси-5-MeO | Me | H | Me | 2230716-98-8 |
![]() | βk-MMDMA-2 | 2-MeO-3,4-метилендиокси | Me | H | Me | |
![]() | βk-DMMDA | 2,5-диMeO-3,4-метилендиокси | Me | H | H | |
![]() | 5-метилметилон | 3,4-метилендиокси-5-Me | Me | H | Me | 1364933-83-4 |
![]() | 5-метилэтилон | 3,4-метилендиокси-5-Me | Me | H | Et | 1364933-82-3 |
![]() | 2-метилбутилон | 2-Me-3,4-метилендиокси | Et | H | Me | 1364933-86-7 |
![]() | 5-метилбутилон | 3,4-метилендиокси-5-Me | Et | H | Me | 1354631-29-0 |
![]() | пентилон | 3,4-метилендиокси | nPr | H | Me | 698963-77-8 |
![]() | N-этилпентилон | 3,4-метилендиокси | nPr | H | Et | 727641-67-0 |
![]() | N-пропилпентилон | 3,4-метилендиокси | nPr | H | nPr | |
![]() | N-бутилпентилон | 3,4-метилендиокси | nPr | H | nBu | |
![]() | 2,3-дипентилон | 2,3-метилендиокси | nPr | Me | Me | |
![]() | дипентилон | 3,4-метилендиокси | nPr | Me | Me | 17763-13-2 |
![]() | N,N-диэтилнорпентилон | 3,4-метилендиокси | nPr | Et | Et | |
![]() | гексилон | 3,4-метилендиокси | nBu | H | Me | |
![]() | изогексилон | 3,4-метилендиокси | iBu | H | Me | |
![]() | N-этилгексилон | 3,4-метилендиокси | nBu | H | Et | 27912-41-0 |
![]() | N-этилгептилон | 3,4-метилендиокси | nPe | H | Et | |
![]() | 4-MEAP | 4-Me | nPr | H | Et | 746540-82-9 |
![]() | 3,4-DMEP | 3,4-диметил | nPr | H | Et | |
![]() | 2-F-пентедрон | 2-F | nPr | H | Me | |
![]() | 3-F-пентедрон | 3-F | nPr | H | Me | |
![]() | 4-F-пентедрон | 4-F | nPr | H | Me | |
![]() | 4-Cl-пентедрон | 4-Cl | nPr | H | Me | 2167949-43-9 |
![]() | 4-метилпентедрон | 4-Me | nPr | H | Me | 1373918-61-6 |
![]() | DL-4662 | 3,4-диметокси | nPr | H | Et | 1674389-55-9 |
![]() | 4-F-iPr-норпентедрон | 4-F | nPr | H | iPr | |
![]() | 3-CBV | 3-Cl | nPr | H | tBu | |
![]() | 4-метилгекседрон | 4-Me | nBu | H | Me | |
![]() | MEH | 4-Me | nBu | H | Et | |
![]() | 3F-NEH | 3-F | nBu | H | Et | |
![]() | 4-F-гекседрон | 4-F | nBu | H | Me | |
![]() | 4-F-октедрон | 4-F | гексил | H | Me | |
![]() | α-фенилмефедрон | 4-Me | фенил | H | Me | |
![]() | βk-эфенидин | H | фенил | H | Et | 22312-16-9 |
![]() | BMAPN | β-нафтил вместо фенила | Me | H | Me | |
![]() | тиотинон | тиофен-2-ил вместо фенила | Me | H | Me | 24065-17-6 |
![]() | 5-Cl-bk-MPA | 5-хлортиофен-2-ил вместо фенила | Me | H | Me | |
![]() | βk-5-MAPB | бензофуран-5-ил вместо фенила | Me | H | Me | |
![]() | βk-6-MAPB | бензофуран-6-ил вместо фенила | Me | H | Me | |
![]() | βk-5-IT | индол-5-ил вместо фенила | Me | H | H | 1369231-36-6 |
![]() | α-фталимидопропиофенон | H | Me | фталимидо | 19437-20-8 | |
![]() | PPPO | H | Me | пиперидинил | ||
![]() | PPBO | H | Et | пиперидинил | 92728-82-0 | |
![]() | FPPVO | 4-F | nPr | пиперидинил | ||
![]() | MDPV-азепан | 3,4-метилендиокси | nPr | азепан | ||
![]() | Caccure 907 | 4-SCH3 | α,α-di-Me | морфолинил | ||
![]() | α-PPP | H | Me | пирролидинил | 19134-50-0 | |
![]() | α-PBP | H | Et | пирролидинил | 13415-54-8 | |
![]() | α-PVP | H | nPr | пирролидинил | 14530-33-7 | |
![]() | α-PHP | H | nBu | пирролидинил | 13415-86-6 | |
![]() | α-PHiP | H | iBu | пирролидинил | ||
![]() | α-PEP (α-PHPP) | H | nPe | пирролидинил | 13415-83-3 | |
![]() | α-POP | H | гексил | пирролидинил | ||
![]() | α-PNP | H | гептил | пирролидинил | ||
![]() | DPPE (A-D2PV) | H | фенил | пирролидинил | 27590-61-0 | |
![]() | α-PcPeP | H | циклопентил | пирролидинил | ||
![]() | α-PCYP | H | циклогексил | пирролидинил | 1803168-11-7 | |
![]() | 2-MePPP | 2-Me | Me | пирролидинил | 2092429-83-7 | |
![]() | 3-MePPP | 3-Me | Me | пирролидинил | 1214940-01-8 | |
![]() | 4-MePPP | 4-Me | Me | пирролидинил | 1313393-58-6 | |
![]() | 3-MeO-PPP | 3-MeO | Me | пирролидинил | ||
![]() | MOPPP | 4-MeO | Me | пирролидинил | 478243-09-3 | |
![]() | 3-F-PPP | 3-F | Me | пирролидинил | 1214939-99-7 | |
![]() | FPPP | 4-F | Me | пирролидинил | 28117-76-2 | |
![]() | Cl-PPP | 4-Cl | Me | пирролидинил | 93307-24-5 | |
![]() | Br-PPP | 4-Br | Me | пирролидинил | ||
![]() | 2,3-DMPPP | 2,3-dimethyl | Me | пирролидинил | ||
![]() | 2,4-DMPPP | 2,4-dimethyl | Me | пирролидинил | ||
![]() | 3,4-DMPPP | 3,4-dimethyl | Me | пирролидинил | ||
![]() | 3-MPBP | 3-Me | Et | пирролидинил | 1373918-60-5 | |
![]() | 3-F-PBP | 3-F | Et | пирролидинил | 1373918-59-2 | |
![]() | MPBP | 4-Me | Et | пирролидинил | 732180-91-5 | |
![]() | FPBP | 4-F | Et | пирролидинил | 1373918-67-2 | |
![]() | EPBP | 4-Et | Et | пирролидинил | ||
![]() | MOPBP | 4-MeO | Et | пирролидинил | ||
![]() | MMOPBP | 3-Me-4-MeO | Et | пирролидинил | ||
![]() | O-2384 | 3,4-dichloro | Et | пирролидинил | 850352-65-7 | |
![]() | 2-Me-PVP | 2-Me | nPr | пирролидинил | ||
![]() | пировалерон (центротон, тимерджикс) | 4-Me | nPr | пирролидинил | 3563-49-3 | |
![]() | 4-Et-PVP | 4-Et | nPr | пирролидинил | ||
![]() | 3F-PVP | 3-F | nPr | пирролидинил | ||
![]() | FPVP | 4-F | nPr | пирролидинил | 850352-31-7 | |
![]() | 2-Cl-PVP | 2-Cl | nPr | пирролидинил | ||
![]() | 3-Cl-PVP | 3-Cl | nPr | пирролидинил | ||
![]() | 4-Cl-PVP | 4-Cl | nPr | пирролидинил | 5537-17-7 | |
![]() | 4-Br-PVP | 4-Br | nPr | пирролидинил | ||
![]() | MOPVP | 4-MeO | nPr | пирролидинил | 5537-19-9 | |
![]() | DMOPVP | 3,4-диметокси | nPr | пирролидинил | 850442-84-1 | |
![]() | DMPVP | 3,4-диметил | nPr | пирролидинил | ||
![]() | O-2390 | 3,4-дихлор | nPr | пирролидинил | 850352-61-3 | |
![]() | MFPVP | 3-метил-4-фтор | nPr | пирролидинил | ||
![]() | MPHP | 4-Me | nBu | пирролидинил | 34138-58-4 | |
![]() | 3F-PHP | 3-F | nBu | пирролидинил | ||
![]() | FPHP | 4-F | nBu | пирролидинил | 2230706-09-7 | |
![]() | 4-Cl-PHP | 4-Cl | nBu | пирролидинил | ||
![]() | DMOPHP | 3,4-dimethoxy | nBu | пирролидинил | ||
![]() | 3F-PiHP | 3-F | iBu | пирролидинил | ||
![]() | 4F-PiHP | 4-F | iBu | пирролидинил | ||
![]() | O-2394 | 4-Me | iBu | пирролидинил | 850352-51-1 | |
![]() | MPEP | 4-Me | пентил | пирролидинил | ||
![]() | 4F-PV8 | 4-F | пентил | пирролидинил | ||
![]() | 4-MeO-PV8 | 4-MeO | пентил | пирролидинил | ||
![]() | 4F-PV9 | 4-F | гексил | пирролидинил | ||
![]() | 4-MeO-PV9 | 4-MeO | hexyl | пирролидинил | ||
![]() | α-фенилпировалерон | 4-Me | фенил | пирролидинил | ||
![]() | MDPPP | 3,4-метилендиокси | Me | пирролидинил | 783241-66-7 | |
![]() | MDMPP | 3,4-метилендиокси | α,α-ди-Me | пирролидинил | ||
![]() | MDPBP | 3,4-метилендиокси | Et | пирролидинил | 784985-33-7 | |
![]() | MDPV (3,4-метилдиоксипировалерон) | 3,4-метилендиокси | nPr | пирролидинил | 687603-66-3 | |
![]() | 2,3-MDPV | 2,3-метилендиокси | nPr | пирролидинил | ||
![]() | 5-Me-MDPV | 3,4-метилендиокси-5-Me | nPr | пирролидинил | ||
![]() | 6-Me-MDPV | 2-Me-4,5-метилендиокси | nPr | пирролидинил | ||
![]() | 6-MeO-MDPV | 2-MeO-4,5-метилендиокси | nPr | пирролидинил | ||
![]() | Br-MeO-MDPV | 2,3-метилендиокси-4-MeO-5-Br | nPr | пирролидинил | ||
![]() | MDPiVP | 3,4-метилендиокси | iPr | пирролидинил | ||
![]() | MDPHP | 3,4-метилендиокси | nBu | пирролидинил | 776994-64-0 | |
![]() | MDPHiP | 3,4-метилендиокси | iBu | пирролидинил | ||
![]() | MDPEP (MD-PV8) | 3,4-метилендиокси | пентил | пирролидинил | 24646-39-7 | |
![]() | MDPOP (MD-PV9) | 3,4-метилендиокси | гексил | пирролидинил | 24646-40-0 | |
![]() | 5-PPDI | 3,4-триметилен | Et | пирролидинил | ||
![]() | 5-BPDI | 3,4-триметилен | nPr | пирролидинил | ||
![]() | 5-HPDI | 3,4-триметилен | nBu | пирролидинил | ||
![]() | IPPV | 3,4-триметилен | фенил | пирролидинил | ||
![]() | TH-PBP | 3,4-тетраметилен | Et | пирролидинил | ||
![]() | TH-PVP | 3,4-тетраметилен | nPr | пирролидинил | 2304915-07-7 | |
![]() | TH-PHP | 3,4-тетраметилен | nBu | пирролидинил | ||
![]() | 5-DBFPV | 2,3-дигидробензофуран-5-ил вместо фенила | nPr | пирролидинил | 1620807-94-4 | |
![]() | 3-BF-PVP | бензофуран-3-ил вместо фенила | nPr | пирролидинил | ||
![]() | нафирон (нафтилпировалерон, О-2482) | β-нафтил вместо фенила | nPr | пирролидинил | 850352-53-3 | |
![]() | α-нафирон | α-нафтил вместо фенила | nPr | пирролидинил | ||
![]() | α-PPT | тиофен-2-ил вместо фенила | Me | пирролидинил | ||
![]() | α-PBT | тиофен-2-ил вместо фенила | Et | пирролидинил | ||
![]() | α-PVT | тиофен-2-ил вместо фенила | nPr | пирролидинил | 1400742-66-6 | |
Примечания
- ↑ Europol 2008 Annual Report on the implementation of Council Decision 2005/387/JHA. Дата обращения: 19 сентября 2022. Архивировано 10 ноября 2020 года.
- ↑ Europol 2009 Annual Report on the implementation of Council Decision 2005/387/JHA. Дата обращения: 19 сентября 2022. Архивировано 25 ноября 2020 года.
- ↑ Europol 2010 Annual Report on the implementation of Council Decision 2005/387/JHA. Дата обращения: 19 сентября 2022. Архивировано 3 октября 2018 года.
- ↑ Europol 2011 Annual Report on the implementation of Council Decision 2005/387/JHA. Дата обращения: 19 сентября 2022. Архивировано 16 февраля 2020 года.
- ↑ Europol 2012 Annual Report on the implementation of Council Decision 2005/387/JHA. Дата обращения: 19 сентября 2022. Архивировано 26 ноября 2020 года.
- ↑ Europol 2013 Annual Report on the implementation of Council Decision 2005/387/JHA. Дата обращения: 19 сентября 2022. Архивировано 18 января 2021 года.
- ↑ Europol 2014 Annual Report on the implementation of Council Decision 2005/387/JHA. Дата обращения: 19 сентября 2022. Архивировано 22 февраля 2021 года.
- ↑ Europol 2015 Annual Report on the implementation of Council Decision 2005/387/JHA. Дата обращения: 19 сентября 2022. Архивировано 8 ноября 2020 года.
- ↑ Europol 2016 Annual Report on the implementation of Council Decision 2005/387/JHA. Дата обращения: 19 сентября 2022. Архивировано 26 января 2021 года.
- ↑ Europol 2017 Annual Report on the implementation of Council Decision 2005/387/JHA. Дата обращения: 19 сентября 2022. Архивировано 11 ноября 2020 года.
- ↑ European Monitoring Center for Drugs and Drug Addiction. New psychoactive substances: global markets, glocal threats and the COVID-19 pandemic. An update from the EU Early Warning System. — Luxembourg : Publications Office of the European Union, December 2020. — ISBN 9789294975584. — doi:10.2810/921262. Архивная копия от 8 октября 2022 на Wayback Machine
- ↑ Maurer HH, Kraemer T, Springer D, Staack RF (April 2004). Chemistry, pharmacology, toxicology, and hepatic metabolism of designer drugs of the amphetamine (ecstasy), piperazine, and pyrrolidinophenone types: a synopsis. Therapeutic Drug Monitoring. 26 (2): 127–31. doi:10.1097/00007691-200404000-00007. PMID 15228152. S2CID 9255084.
- ↑ Davis S, Rands-Trevor K, Boyd S, Edirisinghe M (April 2012). The characterisation of two halogenated cathinone analogues: 3,5-difluoromethcathinone and 3,5-dichloromethcathinone. Forensic Science International. 217 (1–3): 139–45. doi:10.1016/j.forsciint.2011.10.042. PMID 22088945.
- ↑ Liu C, Jia W, Li T, Hua Z, Qian Z (August 2017). Identification and analytical characterization of nine synthetic cathinone derivatives N-ethylhexedrone, 4-Cl-pentedrone, 4-Cl-α-EAPP, propylone, N-ethylnorpentylone, 6-MeO-bk-MDMA, α-PiHP, 4-Cl-α-PHP, and 4-F-α-PHP. Drug Testing and Analysis. 9 (8): 1162–1171. doi:10.1002/dta.2136. PMID 27863142.
- ↑ Błażewicz A, Bednarek E, Popławska M, Olech N, Sitkowski J, Kozerski L (2019). Identification and structural characterization of synthetic cathinones: N-propylcathinone, 2,4-dimethylmethcathinone, 2,4-dimethylethcathinone, 2,4-dimethyl-α-pyrrolidinopropiophenone, 4-bromo-α-pyrrolidinopropiophenone, 1-(2,3-dihydro-1H-inden-5-yl)-2-(pyrrolidin-1-yl)hexan-1-one and 2,4-dimethylisocathinone. Forensic Toxicol. 37 (2): 288–307. doi:10.1007/s11419-018-00463-w. S2CID 59618061.
- ↑ Westphal F, Girreser U, Angerer V, Auwärter V (January 2016). Analytische Daten neuer 2-aminosubstituierter Methylendioxyvalerophenonderivate. Toxichem Krimtech. 83 (1): 3–29.
- ↑ Majchrzak M, Celiński R, Kuś P, Kowalska T, Sajewicz M (2018). The newest cathinone derivatives as designer drugs: an analytical and toxicological review. Forensic Toxicology. 36 (1): 33–50. doi:10.1007/s11419-017-0385-6. PMC 5754390. PMID 29367861.
- ↑ Carlsson A, Sandgren V, Svensson S, Konradsson P, Dunne S, Josefsson M, Dahlén J (February 2018). Prediction of designer drugs: Synthesis and spectroscopic analysis of synthetic cathinone analogs that may appear on the Swedish drug market. Drug Testing and Analysis. 10 (7): 1076–1098. doi:10.1002/dta.2366. PMID 29426062.
- ↑ Cheng WC, Wong WC (May 2019). Forensic drug analysis of chloro-N,N-dimethylcathinone (CDC) and chloroethcathinone (CEC): Identification of 4-CDC and 4-CEC in drug seizures and differentiation from their ring-substituted positional isomers. Forensic Science International. 298: 268–277. doi:10.1016/j.forsciint.2019.03.002. PMID 30925345.
- ↑ Lajtai A, Mayer M, Lakatos Á, Kuzma M, Miseta A (November 2020). New psychoactive versus conventional stimulants - a ten-year review of casework in Hungary. Legal Medicine. 47: 101780. doi:10.1016/j.legalmed.2020.101780. PMID 32882537. S2CID 221496728.
- ↑ Jones NS, Comparin JH (2020). Interpol review of controlled substances 2016-2019. Forensic Science International. Synergy. 2: 608–669. doi:10.1016/j.fsisyn.2020.01.019. PMC 7770462. PMID 33385148.
- ↑ Valtioneuvoston asetus kuluttajamarkkinoilta kielletyistä psykoaktiivisista aineista (неопр.). Finlex Data Bank. Дата обращения: 19 сентября 2022. Архивировано 1 мая 2023 года.





























































































































































































































































































