Сфингозин

Сфингозин
Изображение химической структуры
Общие
Систематическое
наименование
(2S,3R)-2-аминооктадец-4-ен-1,3-диол
Традиционные названия Сфингозин
Хим. формула C18H37NO2
Физические свойства
Состояние белое твёрдое вещество
Молярная масса 299,4919 ± 0,0178 г/моль
Термические свойства
Температура
  плавления 67 °C
Классификация
Рег. номер CAS 123-78-4
PubChem
Рег. номер EINECS 204-651-3
SMILES
InChI
ChEBI 26743
ChemSpider
Приведены данные для стандартных условий (25 °C, 100 кПа), если не указано иное.
Логотип Викисклада Медиафайлы на Викискладе

Сфингозин (2-амино-4-октадецен-1,3-диол) — высший алифатический аминоспирт с ненасыщенной углеводородной цепью (C18). Составляет основу сфинголипидов (например, сфингомиелина), класса фосфолипидов клеточных мембран.

Функция

Сфингозин может фосфорилироваться сфингозинкиназами типа 1 и 2. При этом образуется сигнальный липид сфингозин-1-фосфат.

Биосинтез

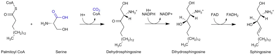
Сфингозин синтезируется из пальмитоил-CoA и серина ферментом серин-пальмитоилтрансферазой, катализирующий реакцию конденсации, которая приводит к дегидросфингозину. Дегидросфингозин затем восстанавливается с участием NADPH до дигидросфингозина, а затем окисляется под действием FAD до собственно сфингозина. Кроме этого, сфингозин образуется при деградации сфинголипидов в лизосомах клетки.

Синтез сфингозина.

Ссылки