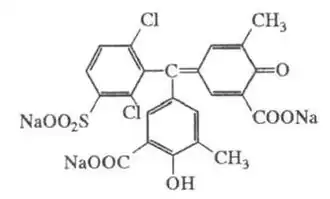
Хромазурол
| Хромазурол | |
|---|---|
| |
| Общие | |
| Хим. формула | C23H13Cl2Na3O9S |
| Физические свойства | |
| Молярная масса | 604,51 г/моль |
| Классификация | |
| Рег. номер CAS | 1667-99-8 |
| PubChem | 54694372, 54682456 и 59875413 |
| Рег. номер EINECS | 216-787-0 |
| SMILES | |
| InChI | |
| Приведены данные для стандартных условий (25 °C, 100 кПа), если не указано иное. | |
Хромазурол C — химический индикатор, предназначенный для определения точки эквивалентности при комплексонометрическом, кислотно-основном титровании. Используется также для фотометрического определения Al, Be, Pd, Sc, Zr, Cu, Fe. Взаимодействие с Аl сопровождается резким переходом желтой окраски раствора (с максимумом поглощения при λ=430 нм) в фиолетово-синюю (с максимумом поглощения при λ=545 нм) при рН 5,3-6,1, предел обнаружения 0,006 мкг/мл.
Литература
- Тихонов В. Н. «Аналитическая химия алюминия». М., 1971 г.
