DMMDA

DMMDA
Изображение химической структуры
Общие
Систематическое
наименование
1-(4,7-Диметокси-1,3-бензодиоксол-5-ил)пропан-2-амин
Хим. формула C12H19NO4
Физические свойства
Молярная масса 241,287 г/моль
Классификация
Рег. номер CAS 15183-13-8
PubChem
SMILES
InChI
ChemSpider
Приведены данные для стандартных условий (25 °C, 100 кПа), если не указано иное.
Логотип Викисклада Медиафайлы на Викискладе

2,5-Диметокси-3,4-метилендиоксиамфетамин (DMMDA или DMMDA-1) — малоизвестный психоделический наркотик из химических классов фенэтиламина и амфетамина.[1] Впервые он был синтезирован Александром Шульгиным и описан в его книге PiHKAL.[1] Шульгин указал дозировку 30–75 мг и продолжительность действия 6–8 часов.[1] Он сообщил, что DMMDA вызывает LSD-подобные образы, мидриаз, атаксию и замедление времени.[1] DMMDA не часто упоминается в литературе за пределами PiHKAL, в отличие от 2C-B.[1]

Фармакология

Механизм галлюциногенных эффектов DMMDA конкретно не установлен. В PiHKAL Шульгин утверждает, что субъективные эффекты 75 миллиграмм DMMDA эквивалентны эффектам 75–100 микрограмм LSD. LSD является хорошо известным частичным агонистом рецептора 5-HT2A.[1] Это может указывать на то, что DMMDA является классическим психоделиком, который также является агонистом или частичным агонистом рецептора 5-HT2A.

Химия

Шульгин объясняет в своей книге, что DMMDA имеет 6 изомеров, похожих на TMA.[1] DMMDA-2 — единственный другой изомер, который был синтезирован на данный момент. DMMDA-3 может быть получен из экзалатацина (1-аллил-2,6-диметокси-3,4-метилендиоксибензола). Экзалатацин можно найти в эфирном масле как Crowea exalata, так и Crowea angustifolia var. angustifolia.[2] Другими словами, экзалатацин является изомером как апиола, так и диллапиола, которые могут быть использованы для получения DMMDA и DMMDA-2 соответственно. Кроме того, еще один изомер DMMDA может быть получен из псевдодиллапиола или 4,5-диметокси-2,3-метилендиоксиаллилбензола.[3] Последние два изомера DMMDA — это 5,6-диметокси-2,3-метилендиоксиамфетамин и 4,6-диметокси-2,3-метилендиоксиамфетамин.

Прекурсоры в синтезе DMMDA и его региоизомеров.

Как и все другие соединения амфетамина, DMMDA и его региоизомер имеют два энантиомера из-за того, что метильная группа находится в альфа-положении этильной группы в позиции номер 1 на бензольном кольце.[4]

Синтез Шульгина

Шульгин описывает синтез DMMDA из апиола в своей PiHKAL.[1] Апиол подвергается реакции изомеризации для получения изоапиола путем добавления к раствору этанольного гидроксида калия и выдерживания раствора на паровой бане.[1] Затем изоапиол нитруется посредством конденсации Кнёвенагеля до 2-нитроизоапиола или 1-(2,3-диметокси-3,4-метилендиоксифенил)-2-нитропропена путем добавления его к перемешиваемому раствору ацетона и пиридина при температуре ледяной бани и обработки раствора тетранитрометаном. Пиридин действует как катализатор в этой реакции.[1] 2,5-диметокси-3,4-метилендиоксибензальдегид также может быть использован в качестве прекурсоров на этом этапе синтеза. 2-нитро-изоапиол в конце концов восстанавливается до свободного основания DMMDA путем добавления его к хорошо перемешиваемой и рефлюксной суспензии диэтилового эфира и алюмогидрида лития в инертной атмосфере.[1] Восстановление также может быть достигнуто с помощью водорода под давлением. В конце концов, свободное основание DMMDA превращается в его гидрохлоридную соль.[1]

Синтез FMMDA Александра Шульгина.

Современные методы синтеза

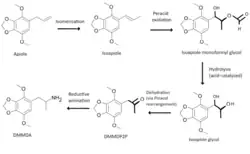
Синтез DMMDA Шульгиным можно обоснованно считать небезопасным, по крайней мере по современным стандартам, поскольку он использует тетранитрометан для своей реакции нитрования, которая является токсичной, канцерогенной и склонной к детонации.[5] DMMDA можно получить из апиола другими более безопасными методами. Среди других методов, DMMDA можно синтезировать из апиола через промежуточный химический продукт 2,5-диметокси-3,4-метилендиоксифенилпропан-2-он или DMMDP2P таким же образом, как MDA получают из сафрола.

Современный синтез DMMDA

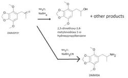
DMMDP2P можно получить из апиола через окисление Вакера с бензохиноном. DMMDP2P можно получить альтернативным способом, подвергая апиол реакции изомеризации с получением термодинамически более стабильного внутреннего алкена, изоапиола, с последующим окислением надкислотой и, наконец, гидролитической дегидратацией.[6] Окисление надкислоты может быть достигнуто путем объединения перекиси водорода с муравьиной кислотой для создания надкислоты, которая в данном случае является надуксусной кислотой. Гидролиз обычно катализируется кислотой с серной кислотой, поскольку серная кислота также приведет к дегидратации промежуточного изоапиолмоноформилгликоля до DMMDP2P. Таким образом, для гидролиза и дегидратации требуется только один реагент, серная кислота, и обе реакции могут быть выполнены в одном и том же реакционном сосуде. Дегидратация является результатом пинакольной перегруппировки. Затем DMMDP2P может быть подвергнут восстановительному аминированию с источником азота, таким как хлорид аммония или нитрат аммония, и восстановителем, таким как цианоборогидрид натрия, амальгамой ртути и алюминия или сжатым водородом, для получения свободного основания DMMDA.[7][8][9][10][11]

Общая информация о синтезе

Восстановительное аминирование DMMDP2P

Боргидрид натрия обычно не используется в качестве восстановителя, поскольку он намного сильнее цианоборогидрида натрия; это обычно приводит к побочным продуктам, таким как 2,5-диметокси-3,4-метилендиокси-1-α-гидроксипропилбензол, в дополнение к желаемому DMMDA. Восстановительное аминирование является экзотермической реакцией. Таким образом, необходимо использовать различные методы охлаждения реакционной смеси, чтобы предотвратить перегрев; это может быть достигнуто, например, с помощью большого количества растворителя или ледяной бани. Использование ртутной амальгамы небезопасно из-за хорошо известного токсического воздействия ртути на центральную нервную систему. В дополнение к перуксусной кислоте, другие перкислоты могут быть использованы для перкислотного окисления изоапиола и аналогов изоаллилбензола в целом. Например, сочетание азотной кислоты с перекисью водорода приведет к той же реакции[8][9][10][11].

Примечания

  1. 1 2 3 4 5 6 7 8 9 10 11 12 Shulgin A. Pihkal: A Chemical Love Story (англ.). — Transform Press. — ISBN 0-9630096-0-5.
  2. Brophy JJ, Goldsack RJ, Punruckvong A, Forster PI, Fookes CJ. Essential oils of the genus Crowea (Rutaceae). — Journal of Essential Oil Research, 1997. — С. 401-409. doi:10.1080/10412905.1997.9700740.
  3. Antimicrobial/antifungal compositions. Дата обращения: 23 сентября 2024. Архивировано 15 декабря 2023 года.
  4. J. Larry Campbell, Amol Kafle, Zack Bowman, J. C. Yves Le Blanc, Chang Liu, W. Scott Hopkins. Separating chiral isomers of amphetamine and methamphetamine using chemical derivatization and differential mobility spectrometry // Analytical Science Advances. — 2020-09-12. Т. 1, вып. 4. С. 233–244. ISSN 2628-5452. doi:10.1002/ansa.202000066.
  5. Tetranitromethane // National Toxicology Program. — 2013. — 31 января. Архивировано 31 января 2013 года.
  6. Cox M, Klass G, Morey S, Pigou P. Chemical markers from the peracid oxidation of isosafrole (англ.). — Forensic Science International, 2008. — P. 44-53. doi:10.1016/j.forsciint.2008.04.009.
  7. Braun U, Shulgin AT, Braun G. Centrally active N-substituted analogs of 3,4-methylenedioxyphenylisopropylamine (3,4-methylenedioxyamphetamine) (англ.). — Journal of Pharmaceutical Sciences, 1980. — P. 192-195. doi:10.1002/jps.2600690220.
  8. 1 2 Clayden J, Greeves N, Warren S. Organic Chemistry (англ.). — Oxford University Press, 2012. — P. 234-235. — ISBN 978-0-19-927029-3.
  9. 1 2 Carey FA, Sundberg RJ. Organic Chemistry B: Reactions and Synthesis (англ.). — Springer, 2007. — P. 403-404. — ISBN 978-0-387-68350-8.
  10. 1 2 Smith MB, March J. March's Advanced Organic Chemistry (англ.). — John Wiley & Sons, 2007. — P. 1288-1290. — ISBN 978-0-471-72091-1.
  11. 1 2 Turcotte MG, Hayes KS. Amines, Lower Aliphatic Amines, Kirk-Othmer Encyclopedia of Chemical Technology (англ.). — New York: John Wiley & Sons, 2001.