University of Florida/Eml4507/s13.team4ever.Wulterkens.R1
Problem R1.1
Main Code
Below is the main page of MATLAB for reproducing all examples.
EDU>> A = [1 2 3;4 5 6;7 8 9]
A =
1 2 3
4 5 6
7 8 9
EDU>> A = [ 1 2 3 4 5 6 7 8 9 ]
A =
1 2 3
4 5 6
7 8 9
EDU>> A = [1 2;3 4] + i*[5 6;7 8]
A =
Column 1
1.0000 + 5.0000i 3.0000 + 7.0000i
Column 2
2.0000 + 6.0000i 4.0000 + 8.0000i
EDU>> A = [1+5i 2+6i;3+7i 4+8i]
A =
Column 1
1.0000 + 5.0000i 3.0000 + 7.0000i
Column 2
2.0000 + 6.0000i 4.0000 + 8.0000i
EDU>> A = [1 2 3;4 5 6;7 8 9]
A =
1 2 3
4 5 6
7 8 9
EDU>> B = [A, zeros(3,2); zeros(2,3), eye(2)]
B =
1 2 3 0 0
4 5 6 0 0
7 8 9 0 0
0 0 0 1 0
0 0 0 0 1
EDU>> x = [];
EDU>> n = 3;
EDU>> for i = 1:n
x = [x,i^2] end
x =
1
x =
1 4
x =
1 4 9
EDU>> x = [];
EDU>> for i = n:-1:1
x = [x,i^2] end
x =
9
x =
9 4
x =
9 4 1
EDU>> m = 4
m =
4
EDU>> for i = 1:m
for j = 1:n
H(i, j) = 1/(i+j-1);
end
end
EDU>> H
H =
1.0000 0.5000 0.3333 0.5000 0.3333 0.2500 0.3333 0.2500 0.2000 0.2500 0.2000 0.1667
EDU>> s = 0;
EDU>> for c = A
s = s + sum(c);
end
EDU>> s
s =
45
EDU>> n = 0;
EDU>> a = 12;
EDU>> while 2^n < a
n = n + 1;
end
EDU>> n
n =
4
EDU>> if n < 0
parity = 0;
elseif rem(n,2) == 0
parity = 2;
else parity = 1;
end
EDU>> parity
parity =
2
EDU>> A
A =
1 2 3
4 5 6
7 8 9
EDU>> y = eig(A)
y =
16.1168 -1.1168 -0.0000
EDU>> [U,D] = eig(A)
U =
-0.2320 -0.7858 0.4082 -0.5253 -0.0868 -0.8165 -0.8187 0.6123 0.4082
D =
16.1168 0 0
0 -1.1168 0
0 0 -0.0000
EDU>> m = 2; n = 3; x = 0:.01:2*pi; y = sin(m*x); z = cos(n*x); plot(x,y,x,z)

EDU>> C = 0.2:0.2:1.2
C =
Columns 1 through 3
0.2000 0.4000 0.6000
Columns 4 through 6
0.8000 1.0000 1.2000
EDU>> C = 5:-1:1
C =
5 4 3 2 1
EDU>> x = [0.0:0.1:2.0]';
EDU>> y = sin(x);
EDU>> [x y]
ans =
0 0 0.1000 0.0998 0.2000 0.1987 0.3000 0.2955 0.4000 0.3894 0.5000 0.4794 0.6000 0.5646 0.7000 0.6442 0.8000 0.7174 0.9000 0.7833 1.0000 0.8415 1.1000 0.8912 1.2000 0.9320 1.3000 0.9636 1.4000 0.9854 1.5000 0.9975 1.6000 0.9996 1.7000 0.9917 1.8000 0.9738 1.9000 0.9463 2.0000 0.9093
EDU>> A(1:3,2)
ans =
2
5
8
EDU>> A(:,3)
ans =
3
6
9
EDU>> A(1:3,:)
ans =
1 2 3
4 5 6
7 8 9
EDU>> A(:,[2 3])
ans =
2 3
5 6
8 9
EDU>> z = randint(4,5)
z =
1 9 3 7 0
2 9 9 3 1
4 4 3 2 9
0 4 1 4 9
EDU>> xm = stat(z)
xm =
Columns 1 through 3
1.7500 6.5000 4.0000
Columns 4 through 5
4.0000 4.7500
EDU>> M = magic(6);
EDU>> E = zeros(6,50);
EDU>> for j = 1:50
E(:,j) = eig(M^i);
end
EDU>> E
E =
1.0e+08 *
Columns 1 through 3
1.5181 1.5181 1.5181 0.0000 0.0000 0.0000 0.0053 0.0053 0.0053 0.0053 0.0053 0.0053 0.0001 0.0001 0.0001 0.0001 0.0001 0.0001
Columns 4 through 6
1.5181 1.5181 1.5181 0.0000 0.0000 0.0000 0.0053 0.0053 0.0053 0.0053 0.0053 0.0053 0.0001 0.0001 0.0001 0.0001 0.0001 0.0001
Columns 7 through 9
1.5181 1.5181 1.5181 0.0000 0.0000 0.0000 0.0053 0.0053 0.0053 0.0053 0.0053 0.0053 0.0001 0.0001 0.0001 0.0001 0.0001 0.0001
Columns 10 through 12
1.5181 1.5181 1.5181 0.0000 0.0000 0.0000 0.0053 0.0053 0.0053 0.0053 0.0053 0.0053 0.0001 0.0001 0.0001 0.0001 0.0001 0.0001
Columns 13 through 15
1.5181 1.5181 1.5181 0.0000 0.0000 0.0000 0.0053 0.0053 0.0053 0.0053 0.0053 0.0053 0.0001 0.0001 0.0001 0.0001 0.0001 0.0001
Columns 16 through 18
1.5181 1.5181 1.5181 0.0000 0.0000 0.0000 0.0053 0.0053 0.0053 0.0053 0.0053 0.0053 0.0001 0.0001 0.0001 0.0001 0.0001 0.0001
Columns 19 through 21
1.5181 1.5181 1.5181 0.0000 0.0000 0.0000 0.0053 0.0053 0.0053 0.0053 0.0053 0.0053 0.0001 0.0001 0.0001 0.0001 0.0001 0.0001
Columns 22 through 24
1.5181 1.5181 1.5181 0.0000 0.0000 0.0000 0.0053 0.0053 0.0053 0.0053 0.0053 0.0053 0.0001 0.0001 0.0001 0.0001 0.0001 0.0001
Columns 25 through 27
1.5181 1.5181 1.5181 0.0000 0.0000 0.0000 0.0053 0.0053 0.0053 0.0053 0.0053 0.0053 0.0001 0.0001 0.0001 0.0001 0.0001 0.0001
Columns 28 through 30
1.5181 1.5181 1.5181 0.0000 0.0000 0.0000 0.0053 0.0053 0.0053 0.0053 0.0053 0.0053 0.0001 0.0001 0.0001 0.0001 0.0001 0.0001
Columns 31 through 33
1.5181 1.5181 1.5181 0.0000 0.0000 0.0000 0.0053 0.0053 0.0053 0.0053 0.0053 0.0053 0.0001 0.0001 0.0001 0.0001 0.0001 0.0001
Columns 34 through 36
1.5181 1.5181 1.5181 0.0000 0.0000 0.0000 0.0053 0.0053 0.0053 0.0053 0.0053 0.0053 0.0001 0.0001 0.0001 0.0001 0.0001 0.0001
Columns 37 through 39
1.5181 1.5181 1.5181 0.0000 0.0000 0.0000 0.0053 0.0053 0.0053 0.0053 0.0053 0.0053 0.0001 0.0001 0.0001 0.0001 0.0001 0.0001
Columns 40 through 42
1.5181 1.5181 1.5181 0.0000 0.0000 0.0000 0.0053 0.0053 0.0053 0.0053 0.0053 0.0053 0.0001 0.0001 0.0001 0.0001 0.0001 0.0001
Columns 43 through 45
1.5181 1.5181 1.5181 0.0000 0.0000 0.0000 0.0053 0.0053 0.0053 0.0053 0.0053 0.0053 0.0001 0.0001 0.0001 0.0001 0.0001 0.0001
Columns 46 through 48
1.5181 1.5181 1.5181 0.0000 0.0000 0.0000 0.0053 0.0053 0.0053 0.0053 0.0053 0.0053 0.0001 0.0001 0.0001 0.0001 0.0001 0.0001
Columns 49 through 50
1.5181 1.5181 0.0000 0.0000 0.0053 0.0053 0.0053 0.0053 0.0001 0.0001 0.0001 0.0001
EDU>> s = 'This is a test'
s =
This is a test
EDU>> disp('this message is hereby displayed')
this message is hereby displayed
EDU>> error('Sorry, the matrix must be symmetric')
??? Sorry, the matrix must be
symmetric
EDU>> inter = input('Enter the number of iterations: ')
Enter the number of iterations: 32
inter =
[]
ans =
32
EDU>> x = -4:0.01:4; y = sin(x); plot(x,y)

EDU>> x = -1.5:0.01:1.5; y = exp(-x.^2); plot(x,y)

EDU>> t = 0:0.001:2*pi; x=cos(3*t); y=sin(2*t); plot(x,y)
EDU>> title ('Best Least Squares Fit')
EDU>> axis([-1,1,-1,1])
EDU>> x=0:0.01:2*pi;y1=sin(x) ;y2=sin(2*x);y3=sin(4*x);plot(x,y1,x,y2,x,y3)

EDU>> x=0:0.01:2*pi; Y=[sin(x)', sin(2*x)', sin(4*x)']; plot(x,Y)
EDU>> x=0:0.01:2*pi; y1=sin(x); y2=sin(2*x); y3=sin(4*x);
EDU>> plot(x,y1,'--',x,y2,':',x,y3,'+')

EDU>> t=0.01:0.01:20*pi; x=cos(t); y=sin(t); z=t.^3; plot3(x,y,z)

EDU>> mesh(eye(10))

EDU>> surf(eye(10))

EDU>> xx = -2:0.2:2;
EDU>> yy = xx;
EDU>> [x,y] = meshgrid(xx,yy);
EDU>> z = exp(-2.^2-y.^2);
EDU>> mesh(z)

EDU>> F = floor(10*rand(6)); F = triu(tril(F,1),-1);
EDU>> S = sparse(F)
S =
(1,1) 5 (2,2) 1 (3,2) 6 (2,3) 2 (3,3) 7 (4,3) 1 (3,4) 7 (5,4) 9 (4,5) 3 (5,5) 5 (6,5) 5 (5,6) 8 (6,6) 5
EDU>> F = full(S)
F =
5 0 0 0 0 0
0 1 2 0 0 0
0 6 7 7 0 0
0 0 1 0 3 0
0 0 0 9 5 8
0 0 0 0 5 5
EDU>> m = 6; n = 6; e = ones(n,1); d = -2*e;
EDU>> T = spdiags([e,d,e],[-1,0,1],m,n)
T =
(1,1) -2 (2,1) 1 (1,2) 1 (2,2) -2 (3,2) 1 (2,3) 1 (3,3) -2 (4,3) 1 (3,4) 1 (4,4) -2 (5,4) 1 (4,5) 1 (5,5) -2 (6,5) 1 (5,6) 1 (6,6) -2
EDU>> i = [1 2 3 4 4 4]; j = [1 2 3 1 2 3]; s = [5 6 7 8 9 10];
EDU>> S = sparse(i,j,s,4,3),full(S)
S =
(1,1) 5 (4,1) 8 (2,2) 6 (4,2) 9 (3,3) 7 (4,3) 10
ans =
5 0 0
0 6 0
0 0 7
8 9 10
EDU>> sparse(i,j,s,m,n)
ans =
(1,1) 5 (4,1) 8 (2,2) 6 (4,2) 9 (3,3) 7 (4,3) 10
EDU>> n = 6; e = floor(10*rand(n-1,1)); E = sparse(2:n,1:n-1,e,n,n)
E =
(2,1) 3 (3,2) 9 (4,3) 8 (5,4) 5 (6,5) 6
EDU>> n=20;e=ones(n,1);d=-2*e; T=spdiags([e,d,e],[-1,0,1],n,n); A=full(T);
EDU>> b=ones(n,1);s=sparse(b);tic,T\s;sparsetime=toc, tic,A\b;fulltime=toc
sparsetime =
0.0011
fulltime =
0.0394
Functions
Bisect.m
Bisect returns a zero of the function. fun is a string containing the name of a real-valued MATLAB function of a single real variable. x is a starting guess. Optional 3rd input is tol sets the accuracy of the result.
function [b, steps] = bisect(fun, x, tol)
if nargin < 3, tol = eps; end
trace = (nargout == 2);
if x ~= 0, dx = x/20; else, dx = 1/20; end
a = x - dx; fa = feval(fun,a);
b = x + dx; fb = feval(fun,b);
while (fa > 0) == (fb > 0)
dx = 2.0*dx;
a = x - dx; fa = feval(fun,a);
if (fa > 0) ~= (fb > 0), break, end
b = x + dx; fb = feval(fun,b);
end
if trace, steps = [a fa; b fb]; end
while abs(b - a) > 2.0*tol*max(abs(b) ,1.0)
c = a + 0.5*(b-a);fc = feval(fun,c);
if trace, steps = [steps; [c fc]]; end
if (fb > 0) == (fc > 0)
b = c; fb = fc;
else
a = c; fa = fc;
end
end
Randint.m
Randint returns an m by n matrix with random entries between a and b. If left empty, a=0 and b=9.
function a = randint(m,n,a,b) if nargin < 3, a = 0; b = 9; end a = floor((b-a+1)*rand(m,n)) + a;
Stat.m
For a vector x, the stat function returns the mean and standard deviation of x.
function [mean, stdev] = stat(x)
[m n] = size(x);
if m == 1
m = n;
end
mean = sum(x)/m;
stdev = sqrt(sum(x.^2)/m - mean.^2);
Torus.m
Torus generates a plot of a torus with central radius a and lateral radius r. n controls the number of facets on the surface.
function [x,y,z] = torus(r,n,a)
if nargin < 3, a = 1; end
if nargin < 2, n = 30; end
if nargin < 1, r = 0.5 end
theta = pi*(0:2:2*n)/n;
phi = 2*pi*(0:2:n)'/n;
xx = (a + r*cos(phi))*cos(theta);
yy = (a + r*cos(phi))*sin(theta);
zz = r*sin(phi)*ones(size(theto));
if nargout == 0
surf(xx,yy,zz)
ar = (a + r)/sqrt(2);
axis([-ar,ar,-ar,ar,-ar,ar])
else
x = xx; y = yy; z = zz;
end
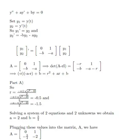
Problem R.1.2
R.1.2a
| Problem diagram for the mass spring damper system. Obtained from FEAD:sec.53a, p.53-2b, Pb-53.1. |
| Free body diagram observing rectilinear motion for the mass spring damper system. Original image. |
\\
R.1.2b
| Problem diagram for the mass spring damper system. Obtained from IEA S12:p.1-4 |
| Free body diagram observing rectilinear motion for the mass spring damper system. Original image. |
\\
Problem R1.3
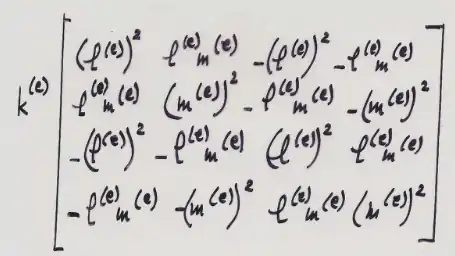
Description: For the model 2-D truss with 2 inclined elements, provide the numerical values for the element stiff matrices and find the coordinates of the global nodes 1 and 3, with the global node 2 at the origin of the global coordinate system.
Img1.3.1: Obtained from the Eml4500.f08.1.djvu p.13
Img1.3.2: Obtained from the Eml4500.f08.1.djvu p.17
Img1.3.3: Obtained from the Eml4500.f08.1.djvu p.16
>> l1 = cos(30*pi/180);
>> m1 = sin(30*pi/180);
>> k1 = zeros(4,4)
>> k1(1,1) = l1^2;
>> k1(2,2) = m1^2;
>> k1(3,3) = l1^2;
>> k1(4,4) = m1^2;
>> k1(1,2) = l1*m1;
>> k1(1,3) = -(l1^2);
>> k1(1,4) = -(l1*m1);
>> k1(2,3) = -(l1*m1);
>> k1(2,4) = -(m1^2);
>> k1(3,4) = l1*m1;
>> for i = 1:4
for j = 1:4
if k1(i,j)==0
k1(i,j)=k1(j,i)
end
end
end
>> k1
k1 =
0.7500 0.4330 -0.7500 -0.4330 0.4330 0.2500 -0.4330 -0.2500 -0.7500 -0.4330 0.7500 0.4330 -0.4330 -0.2500 0.4330 0.2500
>> k1 = k1*0.75
k1 =
0.5625 0.3248 -0.5625 -0.3248 0.3248 0.1875 -0.3248 -0.1875 -0.5625 -0.3248 0.5625 0.3248 -0.3248 -0.1875 0.3248 0.1875
>> l2 = cos(pi/4);
>> m2 = sin(pi/4);
>> k2(1,1) = l2^2;
>> k2(2,2) = m2^2;
>> k2(3,3) = l2^2;
>> k2(4,4) = m2^2;
>> k2(1,2) = l2*m2;
>> k2(1,3) = -(l2^2);
>> k2(1,4) = -(l2*m2);
>> k2(2,3) = -(l2*m2);
>> k2(2,4) = -(m2^2);
>> k2(3,4) = l2*m2;
>> for i = 1:4
for j = 1:4
if k2(i,j)==0
k2(i,j)=k2(j,i)
end
end
end
k2 =
0.5000 0.5000 -0.5000 -0.5000 0.5000 0.5000 -0.5000 -0.5000 -0.5000 -0.5000 0.5000 0.5000 -0.5000 -0.5000 0.5000 0.5000
>> k2 = k2*5
k2 =
2.5000 2.5000 -2.5000 -2.5000 2.5000 2.5000 -2.5000 -2.5000 -2.5000 -2.5000 2.5000 2.5000 -2.5000 -2.5000 2.5000 2.5000
The coordinated of global nodes one and three can be represented as seen below with the global node two being the origin.
Problem R1.4
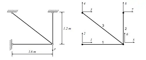
“Description: Consider a plane truss consisting of three bars with the properties E = 200GPa, A1 = 6.0 x 10-4 m2, A2 = 3.0 x 10-4 m2, A3 = 10.0 x 10-4 m2, and loaded by a single force P = 80 kN. The corresponding finite element model consists of three elements and eight degrees of freedom.” (calfem p.234)
Img1.4: Obtained from the calfem manual (calfem.pdf) p.234
The first step is to define a topology matrix: Edof
>> Edof = [1,1,2,5,6;2,5,6,7,8;3,3,4,5,6]
Edof =
1 1 2 5 6
2 5 6 7 8
3 3 4 5 6
K is the stiffness matrix and f is the force matrix
>> K = zeros(8);
>> f = zeros(8,1);
>> f(6)=-80e3
f =
0
0
0
0
0
-80000
0
0
E is the modulus of elasticity. A1, A2, and A3 are the corresponding areas of each truss. Combined, we make the property matrices for each truss in the system, defined as ep1, ep2, and ep3.
>> E=2.0e11;
>> A1=6.0e-4;
>> A2=3.0e-4;
>> A3=10.0e-4;
>> ep1=[E A1]
ep1 =
1.0e+011 *
2.0000 0.0000
>> ep2=[E A2];
>> ep3=[E A3];
The coordinates of each connection of the truss system are defined below.
>> ex1=[0,1.6];
>> ex2=[1.6,1.6];
>> ex3=[0,1.6];
>> ey1=[0,0];
>> ey2=[0,1.2];
>> ey3=[1.2,0];
Using the calfem34 designed function bar2e, we are able to construct the element stiffness matrices as seen below.
>> Ke1=bar2e(ex1,ey1,ep1)
Ke1 =
1.0e+007 *
7.5000 0 -7.5000 0
0 0 0 0
-7.5000 0 7.5000 0
0 0 0 0
>> Ke2=bar2e(ex2,ey2,ep2)
Ke2 =
1.0e+007 *
0 0 0 0
0 5.0000 0 -5.0000
0 0 0 0
0 -5.0000 0 5.0000
>> Ke3=bar2e(ex3,ey3,ep3)
Ke3 =
64000000 -48000000 -64000000 48000000 -48000000 36000000 48000000 -36000000 -64000000 48000000 64000000 -48000000 48000000 -36000000 -48000000 36000000
The next step is to create the global stiffness matrix by using the topology and assem function.
>> K=assem(Edof(1,:),K,Ke1);
>> K=assem(Edof(2,:),K,Ke2);
>> K=assem(Edof(3,:),K,Ke3);
>> K
K =
1.0e+008 *
0.7500 0 0 0 -0.7500 0 0 0
0 0 0 0 0 0 0 0
0 0 0.6400 -0.4800 -0.6400 0.4800 0 0
0 0 -0.4800 0.3600 0.4800 -0.3600 0 0
-0.7500 0 -0.6400 0.4800 1.3900 -0.4800 0 0
0 0 0.4800 -0.3600 -0.4800 0.8600 0 -0.5000
0 0 0 0 0 0 0 0
0 0 0 0 0 -0.5000 0 0.5000
Using the physical displacements for this problem, the solveq function is used to solve the system of equations for the displacement vector a and the support force vector r.
>> bc= [1,0;2,0;3,0;4,0;7,0;8,0];
>> [a,r]=solveq(K,f,bc)
a =
0
0
0
0
-0.0004
-0.0012
0
0
r =
1.0e+004 *
2.9845
0
-2.9845
2.2383
0.0000
0.0000
0
5.7617
The normal forces for section 1, 2, and 3 are calculated using the bar2s function that came with the calfem34 toolbox.
>> ed1=extract(Edof(1,:),a);
>> N1=bar2s(ex1,ey1,ep1,ed1)
N1 =
-2.9845e+004
>> ed2=extract(Edof(2,:),a);
>> N2=bar2s(ex2,ey2,ep2,ed2)
N2 =
5.7617e+004
>> ed3=extract(Edof(3,:),a);
>> N3=bar2s(ex3,ey3,ep3,ed3)
N3 =
3.7306e+004
Problem R1.5
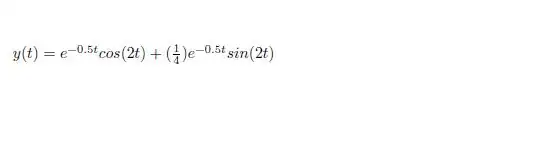
| Solution plotted for roots equal to r = -0.5 and r = -1.5 |
| Solution plotted for both roots equal to r = -0.5 |
| Solution plotted for roots equal to r = -0.5 + 2i and r = -0.5 - 2i |
| Plot of all solutions |
Problem R1.6
BC is a zero force member D= 2 in σ=F/A=F/(πr^2 )
Summing the moments about joint A and solving for the reaction force at joint F
Now we can solve for the reaction forces at joint A
Making a FBD of joint A,F,D,E and summing forces in the x and y direction we can solve for the axial forces in the two force members. Using this force and the known cross sectional area we can solve for the stiffness.
Joint A FBD:
Joint F FBD:
Joint D FBD:
Joint E FBD:
Array showing all finalized answers
The following MATLAB code automatically solves for the same values as above. This code verifies our hand calculations were correct.
Coord=[0 0;12 0;24 0;36 0;12 9;24 9];
Dof=[1 2;3 4;5 6;7 8;9 10;11 12];
Edof=[1 1 2 3 4;2 3 4 5 6;3 5 6 7 8;4 1 2 9 10;5 9 10 3 4;6 9 10 5 6;7 9 10 11 12;8 11 12 5 6;9 11 12 7 8];
[Ex,Ey]=coordxtr(Edof,Coord,Dof,2);
K=zeros(12);
F=zeros(12,1); F(6)=-1200;F(11)=400;
ep=[10000 pi];
for i=1:9
Ke=bar2e(Ex(i,:),Ey(i,:),ep);
K=assem(Edof(i,:),K,Ke);
end
bc=[1 0;2 0;8 0];
Q=solveq(K,F,bc);
Ed=extract(Edof,Q);
for i=1:9
N(i)=bar2s(Ex(i,:),Ey(i,:),ep,Ed(i,:));
end
eldraw2(Ex,Ey);
plotpar=[1 3 0];scale=1;
eldisp2(Ex,Ey,Ed,plotpar,scale);
r=1;
A=pi*r^2;
stressAB=N(4)/A
stressAC=N(1)/A
stressBD=N(7)/A
stressBE=N(6)/A
stressBC=0
stressCE=N(2)/A
stressDF=N(9)/A
stressDE=N(8)/A
stressEF=N(3)/A
The negative and positive terms denote compression and tension respectively.
stressAB = -159.1549 stressAC = 254.6479 stressBD = 254.6479 stressBE = 159.1549 stressBC = 0 stressCE = 254.6479 stressDF = -477.4648 stressDE = 286.4789 stressEF = 381.9719