Bohemic acid is a mixture of chemical compounds which is obtained through fermentation by actinobacteria species in the genus Actinosporangium (Actinoplanaceae). The name honors the Puccini opera La Bohème and many individual components of the acid carry the names of characters from La Bohème. Most of those components are antitumor agents and anthracycline antibiotics active against Gram-positive bacteria.
Synthesis and fractions
Bohemic acid is produced through fermentation by an actinobacteria species in the genus Actinosporangium (Actinoplanaceae) in the order Actinomycetales. Specifically, strain C36145 (ATCC 31127) produces bohemic acid. The acid can be extracted from the fermentation broth with methyl isobutyl ketone under neutral or slightly basic pH conditions, and the fats and oils are removed by washing with petroleum ether.[1]
Chromatographical separation, in addition to the antibiotics pyrromycin and cinerubin A and B, reveals several individual components of bohemic acid, including alcindoromycin, bohemamine, collinemycin, marcellomycin, mimimycin, musettamycin, rudolphomycin and schaunardimycin. Their names originate from the characters Alcindoro, Colline, Marcello, Mimì, Musetta, Rodolfo (Rudolph) and Schaunard of the Puccini opera La Bohème, and the acid itself and the bohemamine component carry the name of the opera.[1][2][3] The suffix -mycin is conventionally added to indicate antibiotics derived from actinobacteria[4][5] or fungi.[6]
Properties
The individual components of bohemic acid are orange-red solids, the color originating from an optical absorption band centered at about 490 nm. Marcellomycin and mimimycin, and collinemycin and musettamycin are stereoisomers, that is they have the same chemical compositions; however, one C-H and one COOCH3 group exchange places. Those two groups are attached to the same carbon atom of one carbon ring, they are marked by the blue star in their structure in the table (C-H group is not shown).[7] Nearly all components of bohemic acid are anthracycline antibiotic agents active against Gram-positive bacteria, but not against Gram-negative bacteria, yeasts or fungi. The most potent component of the acid is rudolphomycin[1] and the least potent is schaunardimycin, which is about 10 times weaker than musettamycin and 20 times weaker than marcellomycin.[8] The original studies on the individual components of bohemic acid have tested them all for antitumor activity in mice, upon intraperitoneal injection.[1][8] Furthermore, the antitumor pharmacokinetics of marcellomycin in the human blood has been evaluated both in vitro and in vivo.[9][10][11][12]
The median lethal dose (LD50) of marcellomycin depends strongly on the animal and varies from a few mg/kg of body weight (dogs) to 20 mg/kg (Suiss-Webster mice, intravenal injection), the major site of toxicity being the gastrointestinal tract.[13] Bohemamine has several structural varieties and derivatives, such as bohemamine B (C14H20N2O3), bohemamine C (C14H21N2O3), and 5-chlorobohemamine C (C14H20ClN2O3). None of them showed antibiotic, antifungal or antitumor activity.[14][15]
| Name | Formula | M.p., °C | CAS number | Structure |
|---|---|---|---|---|
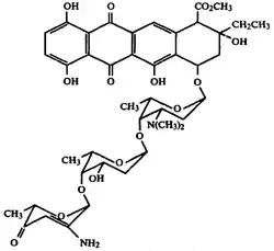
| Alcindoromycin | C41H53NO17 | 150 | 72586-21-1 | |
| Bohemamine | C14H18N2O3 | 200 | 72926-12-6 | ![]() |
| Collinemycin | C36H45NO14 | 140 | 72598-49-3 | ![]() |
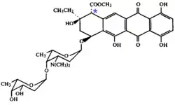
| Marcellomycin | C42H55NO17 | 175 | 63710-10-1 | ![]() |
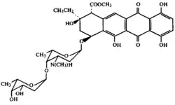
| Mimimycin | C42H55NO17 | 155 | 72657-06-8 | ![]() |
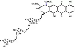
| Musettamycin | C36H45NO14 | 160 | 63710-09-8 | ![]() |
| Rudolphomycin | C42H52N2O16 | 170 | 69245-38-1 | ![]() |
| Schaunardimycin | C35H43NO14 | 93423-02-0 | ![]() |
The bottom fragment of rudolphomycin is a cyclic (sugar) compound with a chemical formula C6H8NO3 and a proposed trivial name rednose.[7]
References
- 1 2 3 4 Nettleton, Donald E.; Balitz, David M.; Doyle, Terrence W.; Bradner, William T.; Johnson, David L.; O'Herron, Frances A.; Schreiber, Richard H.; Coon, Alonzo B.; Moseley, John E. (1980). "Antitumor Agents From Bohemic Acid Complex, III. The Isolation of Marcellomycin, Musettamycin, Rudolphomycin, Mimimycin, Collinemycin, Alcindoromycin, and Bohemamine". Journal of Natural Products. 43 (2): 242–58. doi:10.1021/np50008a003. PMID 7381507.
- ↑ Richard Alan Strehlow Standardization of technical terminology: principles and practices (second volume), Issue 991, ASTM International, 1988, ISBN 0-8031-1183-5 p. 27
- ↑ Chemists Dabble in Whimsy, NY Times, April 22, 1986
- ↑ Alexander Senning Elsevier's dictionary of chemoetymology: the whies and whences of chemical nomenclature and terminology, Elsevier, 2007 ISBN 0444522395 p. 262
- ↑ P. F. Cannon, P. M. Kirk Fungal families of the world, CABI, 2007 ISBN 0-85199-827-5, p. 416
- ↑ "mycin". Oxford English Dictionary (Online ed.). Oxford University Press. (Subscription or participating institution membership required.)
- 1 2 3 "Antitumor agents from the bohemic acid complex. 4. Structures of rudolphomycin, mimimycin, collinemycin, and alcindromycin" (PDF). J. Am. Chem. Soc. 101: 7041. 1979. doi:10.1021/ja00517a044.
- 1 2 Nettleton, Donald E.; Doyle, Terrence W.; Grossman, Joseph H.; Bradner, William T.; Moseley, John E.; Bray, Stanley W. (1984). "Antitumor Agents from Bohemic Acid Complex, VI. Schaunardimycin". Journal of Natural Products. 47 (4): 698–701. doi:10.1021/np50034a022. PMID 6491682.
- ↑ Dodion, P.; Rozencweig, M.; Nicaise, C.; Watthieu, M.; Tamburini, J. M.; Riggs, C. E.; Bachur, N. R. (1985). "Human pharmacokinetics of marcellomycin" (PDF). Cancer Chemotherapy and Pharmacology. 14 (1): 42–8. doi:10.1007/BF00552724. PMID 3965159.
- ↑ Daskal, Y; Woodard, C; Crooke, ST; Busch, H (1978). "Comparative Ultrastructural Studies of Nucleoli of Tumor Cells Treated with Adriamycin and the Newer Anthracyclines, Carminomycin and Marcellomycin" (PDF). Cancer Research. 38 (2): 467–73. PMID 202387.
- ↑ Buroker, E. A.; Johnson, D. F.; Comereski, C. R.; Hirth, R. S.; Madissoo, H.; Hottendorf, G. H. (1983). "The Toxicologic Evaluation of Marcellomycin—An Antineoplastic Anthracycline Antibiotic". Drug and Chemical Toxicology. 6 (1): 21–40. doi:10.3109/01480548309072460. PMID 6861661.
- ↑ Joss, R (1983). "A phase I trial of marcellomycin with a weekly dose schedule". European Journal of Cancer and Clinical Oncology. 19: 455. doi:10.1016/0277-5379(83)90106-2.
- ↑ Lenaz, L. et al. in Marcellomycin: A new class II Anthracycline, pp. 231–235, in Walter Davis, Stephan Tanneberger "The Control of tumour growth and its biological bases" Springer, 1983, ISBN 0-89838-603-9
- ↑ Bugni, Tim S.; Woolery, Matthew; Kauffman, Christopher A.; Jensen, Paul R.; Fenical, William (2006). "Bohemamines from a Marine-Derived Streptomyces addafgaffewtsp". Journal of Natural Products. 69 (11): 1626–8. doi:10.1021/np0602721. PMID 17125235.
- ↑ Doyle, Terrence W.; Nettleton, Donald E.; Balitz, David M.; Moseley, John E.; Grulich, Robert E.; McCabe, Terry; Clardy, Jon (1980). "Isolation and structure of bohemamine (1aβ,2α,6aβ,6bβ)-3-methyl-N-(1a,6,6a,6b-tetrahydro-2,6a-dimethyl-6-oxo-2H-oxireno[a]pyrrolizin-4-yl)-2-butenamide". The Journal of Organic Chemistry. 45: 1324. doi:10.1021/jo01295a037.




