Twin studies are studies conducted on identical or fraternal twins. They aim to reveal the importance of environmental and genetic influences for traits, phenotypes, and disorders. Twin research is considered a key tool in behavioral genetics and in related fields, from biology to psychology. Twin studies are part of the broader methodology used in behavior genetics, which uses all data that are genetically informative – siblings studies, adoption studies, pedigree, etc. These studies have been used to track traits ranging from personal behavior to the presentation of severe mental illnesses such as schizophrenia.

Twins are a valuable source for observation because they allow the study of environmental influence and varying genetic makeup: "identical" or monozygotic (MZ) twins share essentially 100% of their genes, which means that most differences between the twins (such as height, susceptibility to boredom, intelligence, depression, etc.) are due to experiences that one twin has but not the other twin.[1] "Fraternal" or dizygotic (DZ) twins share only about 50% of their genes, the same as any other sibling. Twins also share many aspects of their environment (e.g., uterine environment, parenting style, education, wealth, culture, community) because they are born into the same family. The presence of a given genetic or phenotypic trait in only one member of a pair of identical twins (called discordance) provides a powerful window into environmental effects on such a trait.

Twins are also useful in showing the importance of the unique environment (specific to one twin or the other) when studying trait presentation. Changes in the unique environment can stem from an event or occurrence that has only affected one twin. This could range from a head injury or a birth defect that one twin has sustained while the other remains healthy.

The classical twin design compares the similarity of monozygotic (identical) and dizygotic (fraternal) twins. If identical twins are considerably more similar than fraternal twins (which is found for most traits), this implies that genes play an important role in these traits. By comparing many hundreds of families with twins, researchers can then understand more about the roles of genetic effects, shared environment, and unique environment in shaping behavior.

Modern twin studies have concluded that all studied traits are partly influenced by genetic differences, with some characteristics showing a stronger influence (e.g. height), others an intermediate level (e.g. personality traits) and some more complex heritabilities, with evidence for different genes affecting different aspects of the trait – as in the case of autism.[2]

History

Gustav III of Sweden was the first to use identical twins in a comparative study of medical outcomes.

Twins have been of interest to scholars since early civilization, including the early physician Hippocrates (5th century BCE), who attributed different diseases in twins to different material circumstances,[3] and the stoic philosopher Posidonius (1st century BCE), who attributed such similarities to shared astrological circumstances.[4]

Gustav III, King of Sweden was the first to commission a medical study using identical twins. Gustav's father, Adolph Frederick had been an opponent of stimulating drinks such as tea and coffee, signing the Misuse and Excesses Tea and Coffee Drinking Edict in 1757.[5] Both Gustav III and his father had read and been strongly influenced by a 1715 treatise from a French physician on the dangers of what would later be identified as caffeine in tea and coffee.[6] After assuming the throne in 1771 the king became strongly motivated to demonstrate to his subjects that coffee and tea had deleterious effects on human health. To this end he offered to commute the death sentences of a pair of twin murderers if they participated in a primitive clinical trial.

Both condemned men agreed and subsequently spent the rest of their lives in prison fulfilling the king's demands: that one twin drink three pots of coffee every day and the other three pots of tea. The tea drinking twin died first at the age of 83, long after Gustav III, who was assassinated in 1792. The age of the coffee-drinking twin at his death is unknown, as both doctors assigned by the king to monitor this study predeceased him. The ban on coffee and tea in Sweden was lifted in 1823.[7][8]

A more recent study is from Sir Francis Galton's pioneering use of twins to study the role of genes and environment on human development and behavior. Galton, however, was unaware of the difference between identical and DZ twins.[9] This factor was still not understood when the first study using psychological tests was conducted by Edward Thorndike (1905) using fifty pairs of twins.[10][11] This paper was an early statement of the hypothesis that family effects decline with age. His study compared twin pairs age 9–10 and 13–14 to normal siblings born within a few years of one another.

Francis Galton laid the foundations of behavior genetics as a branch of science.

Thorndike incorrectly reasoned that his data supported for there being one, not two, twin types. This mistake was repeated by Ronald Fisher (1919), who argued

The preponderance of twins of like sex, does indeed become a new problem, because it has been formerly believed to be due to the proportion of identical twins. So far as I am aware, however, no attempt has been made to show that twins are sufficiently alike to be regarded as identical really exist in sufficient numbers to explain the proportion of twins of like sex.[12]

An early, and perhaps first, study understanding the distinction is from the German geneticist Hermann Werner Siemens in 1924.[13] Chief among Siemens' innovations was the polysymptomatic similarity diagnosis. This allowed him to account for the oversight that had stumped Fisher, and was a staple in twin research prior to the advent of molecular markers.

Wilhelm Weinberg and colleagues in 1910 used the identical-DZ distinction to calculate respective rates from the ratios of same- and opposite-sex twins in a maternity population. They partitioned co-variation amongst relatives into genetic and environmental elements, anticipating the later work of Fisher and Wright, including the effect of dominance on similarity of relatives, and beginning the first classic-twin studies.[14]

A study conducted by Darrick Antell and Eva Taczanowski found that "twins showing the greatest discrepancies in visible aging signs also had the greatest degree of discordance between personal lifestyle choices and habits", and concluded that "the genetic influences on aging may be highly overrated, with lifestyle choices exerting far more important effects on physical aging."[15]

Examples

Examples of prominent twin studies include the following:

Methods

The power of twin designs arises from the fact that twins may be either identical (monozygotic (MZ), i.e. developing from a single fertilized egg and therefore sharing all of their polymorphic alleles) or fraternal (dizygotic (DZ), i.e. developing from two fertilized eggs and therefore sharing on average 50% of their alleles, the same level of genetic similarity found in non-twin siblings). These known differences in genetic similarity, together with a testable assumption of equal environments for identical and fraternal twins,[16] creates the basis for the design of twin studies aimed at estimating the overall effects of genes and environment on a phenotype.[17][18]

The basic logic of the twin study can be understood with very little mathematical knowledge beyond an understanding of the concepts of variance and thence derived correlation.

Classical twin method

Like all behavior genetic research, the classical twin study begins by assessing the variance of behavior (called a phenotype by geneticists) in a large group, and attempts to estimate how much of this is due to:

  • genetic effects (heritability)
  • shared environment – events that happen to both twins, affecting them in the same way
  • unshared, or unique, or nonshared environment – events that occur to one twin but not the other, or events that affect either twin in a different way.

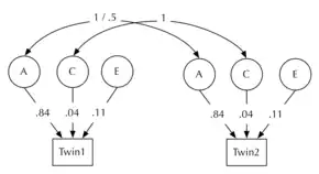
Typically these three components are called A (additive genetics) C (common environment) and E (unique environment); hence the acronym ACE. It is also possible to examine non-additive genetics effects (often denoted D for dominance (ADE model); see below for more complex twin designs).

The ACE model indicates what proportion of variance in a trait is heritable, versus the proportion due to a shared environment or unshared environment. Research is typically carried out using Structural equation modeling (SEM) programs such as OpenMx capable in principle of handling all sorts of complex pedigrees. However the core logic underlying such programs is the same as the one underlying the twin design described here.

Monozygotic (identical – MZ) twins raised in a family share 100% of their genes, and all of their shared environment. Any differences arising between them in these circumstances are random (i.e. due to environmental effects unique to each twin). The correlation between identical twins provides an estimate of A + C. Dizygotic (DZ) twins also share C, but share, on average only 50% of their genes: so the correlation between fraternal twins is a direct estimate of ½A+C. If we denote with r the correlation, we can define rmz and rdz as the correlations of a trait among identical and fraternal twins, respectively. For any particular trait, then:

rmz = A + C
rdz = ½A + C

Stated again, the difference between these two sums then allows us to solve for A and C (and as a consequence, for E). As the difference between the identical and fraternal correlations is due entirely to a halving of the genetic similarity, the additive genetic effect A is twice the difference between the identical and fraternal correlations:

A = 2 (rmzrdz)

given the estimate for A, the one for C can be derived, for instance, from the first equation:

C = rmzA

Finally, since the trait correlation among identical twins reflects the full contribution of A and C, the residual variation E can be estimated by subtracting this correlation from 1

E = 1 − rmz.

To summarize therefore, the additive genetic factor A is twice the difference between MZ and DZ twin correlations (this is known as Falconer's formula), C is the MZ twin correlation minus this estimate of A, and the random (unique) factor E is (1 - rmz), i.e. MZ twins differ due to unique environments only (Jinks & Fulker, 1970; Plomin, DeFries, McClearn, & McGuffin, 2001).

Underestimation of the genetical effect

The effect of genes may be much higher than what is predicted by naïve twin models, because they assume that non-identical twins are just half closer to identical twins in genetical similarity than random people. Due to assortative mating, they are even more similar, as parents are genetically more similar to each other than random people. Taking this into account (NTFD method), Wolfram and Morris showed that the number of years in education was just 26% affected by the shared environment, not 43%.[19]

Modern modeling

Beginning in the 1970s, research transitioned to modeling genetic, environmental effects using maximum likelihood methods (Martin & Eaves, 1977). While computationally much more complex, this approach has numerous benefits rendering it almost universal in current research.

An example structural model (for the heritability of height among Danish males)[20] is shown:

A: ACE model showing raw (non-standardised) variance coefficients
B: ACE model showing standardised variance coefficients

Model A on the left shows the raw variance in height. This is useful as it preserves the absolute effects of genes and environments, and expresses these in natural units, such as mm of height change. Sometimes it is helpful to standardize the parameters, so each is expressed as percentage of total variance. Because we have decomposed variance into A, C, and E, the total variance is simply A + C + E. We can then scale each of the single parameters as a proportion of this total, i.e., Standardised–A = A/(A + C + E). Heritability is the standardised genetic effect.

Model comparison

A principal benefit of modeling is the ability to explicitly compare models: Rather than simply returning a value for each component, the modeler can compute confidence intervals on parameters, but, crucially, can drop and add paths and test the effect via statistics such as the AIC. Thus, for instance to test for predicted effects of family or shared environment on behavior, an AE model can be objectively compared to a full ACE model. For example, we can ask of the figure above for height: Can C (shared environment) be dropped without significant loss of fit? Alternatively, confidence intervals can be calculated for each path.

Multi-group and multivariate modeling

Multivariate modeling can give answers to questions about the genetic relationship between variables that appear independent. For instance: do IQ and long-term memory share genes? Do they share environmental causes? Additional benefits include the ability to deal with interval, threshold, and continuous data, retaining full information from data with missing values, integrating the latent modeling with measured variables, be they measured environments, or, now, measured molecular genetic markers such as SNPs. In addition, models avoid constraint problems in the crude correlation method: all parameters will lie, as they should, between 0–1 (standardized).

Multivariate, and multiple-time wave studies, with measured environment and repeated measures of potentially causal behaviours are now the norm. Examples of these models include extended twin designs,[21][22] simplex models,[23] and growth-curve models.[24]

SEM programs such as OpenMx[25] and other applications suited to constraints and multiple groups have made the new techniques accessible to reasonably skilled users.

Modeling the environment: MZ discordant designs

As MZ twins share both their genes and their family-level environmental factors, any differences between MZ twins reflect E: the unique environment. Researchers can use this information to understand the environment in powerful ways, allowing epidemiological tests of causality that are otherwise typically confounded by factors such as gene–environment covariance, reverse causation and confounding.

An example of a positive MZ discordant effect is shown below on the left. The twin who scores higher on trait 1 also scores higher on trait 2. This is compatible with a "dose" of trait 1 causing an increase in trait 2. Of course, trait 2 might also be affecting trait 1. Disentangling these two possibilities requires a different design (see below for an example). A null result is incompatible with a causal hypothesis.

A depiction of MZ-discordance data
MZ discordant test of hypothesis that exercise protects against depression

Take for instance the case of an observed link between depression and exercise (See Figure above on right). People who are depressed also reporting doing little physical activity. One might hypothesise that this is a causal link: that "dosing" patients with exercise would raise their mood and protect against depression. The next figure shows what empirical tests of this hypothesis have found: a null result.[26]

Longitudinal discordance designs

A cross-lagged longitudinal MZ discordant twin design. This model can take account of relationships among differences across traits at time one, and then examine the distinct hypotheses that increments in trait1 drive subsequent change in that trait in the future, or, importantly, in other traits.

As may be seen in the next Figure, this design can be extended to multiple measurements, with consequent increase in the kinds of information that one can learn. This is called a cross-lagged model (multiple traits measured over more than one time).[27]

In the longitudinal discordance model, differences between identical twins can be used to take account of relationships among differences across traits at time one (path A), and then examine the distinct hypotheses that increments in trait1 drive subsequent change in that trait in the future (paths B and E), or, importantly, in other traits (paths C & D). In the example, the hypothesis that the observed correlation where depressed persons often also exercise less than average is causal, can be tested. If exercise is protective against depression, then path D should be significant, with a twin who exercises more showing less depression as a consequence.

Assumptions

It can be seen from the modeling above, the main assumption of the twin study is that of equal family environments, also known as the equal environments assumption.[28][29][30] A special ability to test this assumption occurs where parents believe their twins to be non-identical when in fact they are genetically identical. Studies of a range of psychological traits indicate that these children remain as concordant as MZ twins raised by parents who treated them as identical.[31]

Molecular genetic methods of heritability estimation have tended to produce lower estimates than classical twin studies due to modern SNP arrays not capturing the influence of certain types of variants (e.g., rare variants or repeat polymorphsisms), though some have suggested it is because twin studies overestimate heritability.[32] A 2016 study determined that the assumption that the prenatal environment of twins was equal was largely tenable.[33] Researchers continue to debate whether or not the equal environment assumption is valid.[34][35][36][37][38]

Measured similarity: A direct test of assumptions in twin designs

A particularly powerful technique for testing the twin method was reported by Visscher et al.[39] Instead of using twins, this group took advantage of the fact that while siblings on average share 50% of their genes, the actual gene-sharing for individual sibling pairs varies around this value, essentially creating a continuum of genetic similarity or "twinness" within families. Estimates of heritability based on direct estimates of gene sharing confirm those from the twin method, providing support for the assumptions of the method.

Sex differences

Genetic factors, including both gene expression and the range of gene × environment interactions, may differ between the sexes. Fraternal opposite sex twin pairs are invaluable in explicating these effects.

In an extreme case, a gene may only be expressed in one sex (qualitative sex limitation). More commonly, the effects of particular alleles may depend on the sex of the individual. A gene might cause a change of 100 g in weight in males, but perhaps 150 g in females – a quantitative gene effect.

Environments may impact on the ability of genes to express themselves and may do this via sex differences. For instance, genes affecting voting behavior would have no effect in females if females are excluded from the vote. More generally, the logic of sex-difference testing can extend to any defined sub-group of individuals. In cases such as these, the correlation for same and opposite sex DZ twins will differ, betraying the effect of the sex difference.

For this reason, it is normal to distinguish three types of fraternal twins. A standard analytic workflow would involve testing for sex-limitation by fitting models to five groups, identical male, identical female, fraternal male, fraternal female, and fraternal opposite sex. Twin modeling thus goes beyond correlation to test causal models involving potential causal variables, such as sex.

Gene × environment interactions

Gene effects may often be dependent on the environment. Such interactions are known as G×E interactions, in which the effects of a gene allele differ across different environments. Simple examples would include situations where a gene multiplies the effect of an environment: perhaps adding 1 inch to height in high nutrient environments, but only half an inch to height in low-nutrient environments. This is seen in different slopes of response to an environment for different genotypes.

Often researchers are interested in changes in heritability under different conditions: In environments where alleles can drive large phenotypic effects (as above), the relative role of genes will increase, corresponding to higher heritability in these environments.

A second effect is G × E correlation, in which certain alleles tend to accompany certain environments. If a gene causes a parent to enjoy reading, then children inheriting this allele are likely to be raised in households with books due to GE correlation: one or both of their parents has the allele and therefore will accumulate a book collection and pass on the book-reading allele. Such effects can be tested by measuring the purported environmental correlate (in this case books in the home) directly.

Often the role of environment seems maximal very early in life, and decreases rapidly after compulsory education begins. This is observed for instance in reading[40] as well as intelligence.[41] This is an example of a G*Age effect and allows an examination of both GE correlations due to parental environments (these are broken up with time), and of G*E correlations caused by individuals actively seeking certain environments.[42]

Norms of reaction

Studies in plants or in animal breeding allow the effects of experimentally randomized genotypes and environment combinations to be measured. By contrast, human studies are typically observational.[43][44] This may suggest that norms of reaction cannot be evaluated.[45][46]

As in other fields such as economics and epidemiology, several designs have been developed to capitalise on the ability to use differential gene-sharing, repeated exposures, and measured exposure to environments (such as children social status, chaos in the family, availability and quality of education, nutrition, toxins etc.) to combat this confounding of causes. An inherent appeal of the classic twin design is that it begins to untangle these confounds. For example, in identical and fraternal twins shared environment and genetic effects are not confounded, as they are in non-twin familial studies.[18] Twin studies are thus in part motivated by an attempt to take advantage of the random assortment of genes between members of a family to help understand these correlations.

While the twin study tells us only how genes and families affect behavior within the observed range of environments, and with the caveat that often genes and environments will covary, this is a considerable advance over the alternative, which is no knowledge of the different roles of genes and environment whatsoever.[47] Twin studies are therefore often used as a method of controlling at least one part of this observed variance: Partitioning, for instance, what might previously have been assumed to be family environment into shared environment and additive genetics using the experiment of fully and partly shared genomes in twins.[47] Additional information is available outside the classic twin design. Adoption designs are a form of natural experiment that tests norms of reaction by placing the same genotype in different environments.[48] Association studies, e.g.,[49] allow direct study of allelic effects. Mendelian randomization of alleles also provides opportunities to study the effects of alleles at random with respect to their associated environments and other genes.[50]

Extended twin designs and more complex genetic models

The basic or classical twin-design contains only identical and fraternal twins raised in their biological family. This represents only a sub-set of the possible genetic and environmental relationships. It is fair to say, therefore, that the heritability estimates from twin designs represent a first step in understanding the genetics of behavior.

The variance partitioning of the twin study into additive genetic, shared, and unshared environment is a first approximation to a complete analysis taking into account gene–environment covariance and interaction, as well as other non-additive effects on behavior. The revolution in molecular genetics has provided more effective tools for describing the genome, and many researchers are pursuing molecular genetics in order to directly assess the influence of alleles and environments on traits.

An initial limitation of the twin design is that it does not afford an opportunity to consider both Shared Environment and Non-additive genetic effects simultaneously. This limit can be addressed by including additional siblings to the design.

A second limitation is that gene–environment correlation is not detectable as a distinct effect unless it is added to the model. Addressing this limit requires incorporating adoption models, or children-of-twins designs, to assess family influences uncorrelated with shared genetic effects.

Continuous variables and ordinal variables

While concordance studies compare traits either present or absent in each twin, correlational studies compare the agreement in continuously varying traits across twins.

Criticism

The twin method has been subject to criticism from statistical genetics, statistics, and psychology, with some researchers, such as Burt & Simons (2014), arguing that conclusions reached via this method are ambiguous or meaningless.[51] Core elements of these criticisms and their rejoinders are listed below.

Criticisms of fundamental assumptions

Critics of twin studies argue that they are based on false or questionable assumptions, including that monozygotic twins share 100% of their genes[52] and the equal environments assumption.[53][54] On this basis, critics contend that twin studies tend to generate inflated or deflated estimates of heritability due to biological confounding factors and consistent underestimation of environmental variance.[51][55] Other critics take a more moderate stance, arguing that the equal environments assumption is typically inaccurate, but that this inaccuracy tends to have only a modest effect on heritability estimates.[56]

Criticisms of statistical methods

Peter Schonemann criticized methods for estimating heritability developed in the 1970s. He has also argued that the heritability estimate from a twin study may reflect factors other than shared genes. Using the statistical models published in Loehlin and Nichols (1976),[57] the narrow HR-heritability of responses to the question "did you have your back rubbed" has been shown to work out to .92 heritable for males and .21 heritable for females, and the question "Did you wear sunglasses after dark?" is 130% heritable for males and 103% for females.[58][59] Critics also contend that the concept of "heritability" estimated in twin studies is merely a statistical abstraction with no relationship to an underlying entity in DNA[60] and that the statistical underpinnings of twin research are invalid; statistical critiques argue that heritability estimates used for most twin studies rest on restrictive assumptions that are usually not tested, and if they are, they are often contradicted by the data.

Responses to statistical critiques

Before computers, statisticians used methods that were computationally tractable, at the cost of known limitations. Since the 1980s these approximate statistical methods have been discarded: Modern twin methods based on structural equation modeling are not subject to the limitations and heritability estimates such as those noted above are mathematically impossible.[61] Critically, the newer methods allow for explicit testing of the role of different pathways and incorporation and testing of complex effects.[47]

Sampling: Twins as representative members of the population

Results of twin studies cannot be automatically generalized beyond the population they come from. It is therefore important to understand the particular sample studied, and the nature of twins themselves. Twins are not a random sample of the population, and they differ in their developmental environment. In this sense they are not representative.[62]

For example: Dizygotic (DZ) twin births are affected by many factors. Some women frequently produce more than one egg at each menstrual period and, therefore, are more likely to have twins. This tendency may run in the family either in the mother's or father's side of the family, and often runs through both. Women over the age of 35 are more likely to produce two eggs. Women who have three or more children are also likely to have dizygotic twins. Artificial induction of ovulation and in vitro fertilization-embryo replacement can also give rise to fraternal and identical twins.[63][64][65][66][67][68]

Response to representativeness of twins

However, twins differ very little from non-twin siblings. Measured studies on the personality and intelligence of twins suggest that they have scores on these traits very similar to those of non-twins (for instance Deary et al. 2006).

Separated twin pairs as representative of other twins

Separated twin pairs, identical or fraternal, are generally separated by adoption. This makes their families of origin non-representative of typical twin families in that they give up their children for adoption. The families they are adopted to are also non-representative of typical twin families in that they are all approved for adoption by children's protection authorities and that a disproportionally large fraction of them have no biological children. Those who volunteer to studies are not even representative of separated twins in general since not all separated twins agree to be part of twin studies.[69][70]

Detection problems

There can be some issues of undetected behaviors in the case of behaviors that many people keep secret presently or in their earlier lives. They may not be as willing to reveal behaviors that are discriminated against or stigmatized. If environment played no role in the actual behavior, skewed detection would still make it look like it played a role. For environment to appear to have no role in such cases, there would have to be either a counterproductivity of intolerance in the sense of intolerance causing the behavior it is bigoted against, or a flaw in the study that makes the results scientifically useless. Even if environment does play a role, the numbers would still be skewed.[71][72][73]

Terminology

Pairwise concordance

For a group of twins, pairwise concordance is defined as C/(C+D), where C is the number of concordant pairs and D is the number of discordant pairs.

For example, a group of 10 twins have been pre-selected to have one affected member (of the pair). During the course of the study four other previously non-affected members become affected, giving a pairwise concordance of 4/(4+6) or 4/10 or 40%.

Probandwise concordance

For a group of twins in which at least one member of each pair is affected, probandwise concordance is a measure of the proportion of twins who have the illness who have an affected twin and can be calculated with the formula of 2C/(2C+D), in which C is the number of concordant pairs and D is the number of discordant pairs.

For example, consider a group of 10 twins that have been pre-selected to have one affected member. During the course of the study, four other previously non-affected members become affected, giving a probandwise concordance of 8/(8+6) or 8/14 or 57%.

See also

References

  1. Plomin, R.; DeFries, J. C.; Knopik, V. S.; Neiderhiser, J. M. (Ed.). (2014). Behavioral Genetics (6th ed.). New York, NY: Worth Publishers
  2. Polderman, Tinca J C; Benyamin, Beben; de Leeuw, Christiaan A; Sullivan, Patrick F; van Bochoven, Arjen; Visscher, Peter M; Posthuma, Danielle (2015). "Meta-analysis of the heritability of human traits based on fifty years of twin studies" (PDF). Nature Genetics. 47 (7): 702–709. doi:10.1038/ng.3285. ISSN 1061-4036. PMID 25985137. S2CID 205349969.
  3. Temkin, Owsei (1991). Hippocrates in a World of Pagans and Christians. JHU Press. pp. 132. ISBN 9780801840906.
  4. Cicero, De Divinatione, (On Divination), ii. 42
  5. Afshari, Reza (2017). "Gustav III's risk assessment on coffee consumption; A medical history report". Avicenna Journal of Phytomedicine. 7 (2): 99–100. ISSN 2228-7930. PMC 5355814. PMID 28348964.
  6. "Linné on line – Coffee – rat poison or miracle medicine?". www2.linnaeus.uu.se. Retrieved 2022-10-04.
  7. Afshari, Reza (2017). "Gustav III's risk assessment on coffee consumption; A medical history report". Avicenna Journal of Phytomedicine. 7 (2): 99–100. ISSN 2228-7930. PMC 5355814. PMID 28348964.
  8. Knutsson, Anna; Hodacs, Hanna (2021-11-18). "When coffee was banned: strategies of labour and leisure among Stockholm's poor women, 1794–1796 and 1799–1802". Scandinavian Economic History Review. 71 (2): 176–198. doi:10.1080/03585522.2021.2000489. ISSN 0358-5522. S2CID 244415520.
  9. Rende, R. D.; Plomin, R.; Vandenberg, S. G. (1990). "Who discovered the twin method?". Behavior Genetics. 20 (2): 277–285. doi:10.1007/BF01067795. PMID 2191648. S2CID 22666939.
  10. Thorndike, Edward L. (1905-01-01). "Measurement of Twins". The Journal of Philosophy, Psychology and Scientific Methods. 2 (20): 547–553. doi:10.2307/2011451. JSTOR 2011451. Retrieved 2019-03-11.
  11. Thorndike, Edward Lee (1905). Measurements of Twins. Science Press.
  12. Fisher, R. A. (1919). "The Genesis of Twins". Genetics. 4 (5): 489–499. doi:10.1093/genetics/4.5.489. PMC 1200469. PMID 17245935.
  13. Siemens, Hermann Werner (1924). Die zwillingspathologie; ihre bedeutung, ihre methodik, ihre bisherigen ergebnisse. Berlin: Springer. OCLC 18362377.
  14. Crow, James F. (1999). "Hardy, Weinberg and language impediments". Genetics. 152 (3): 821–825. doi:10.1093/genetics/152.3.821. PMC 1460671. PMID 10388804.
  15. Antell, Darrick E.; Taczanowski, Eva M. (December 1999). "How Environment and Lifestyle Choices Influence the Aging Process". Annals of Plastic Surgery. 43 (6): 585–8. doi:10.1097/00000637-199912000-00001. ISSN 0148-7043. PMID 10597816.
  16. Propping, Peter; Bouchard, Thomas J., eds. (1993). Twins as a tool of behavioral genetics. London: J. Wiley. p. 326. ISBN 978-0-471-94174-3.
  17. Cardon, Lon R.; Neale, Michael C. (1992). Methodology for genetic studies of twins and families. Boston: Kluwer Academic Publishers. ISBN 978-0-7923-1874-3.
  18. 1 2 Martin, Nicholas; Boomsma, Dorret; Machin, Geoffrey (1997). "A twin-pronged attack on complex traits" (PDF). Nature Genetics. 17 (4): 387–392. doi:10.1038/ng1297-387. hdl:1871/2733. PMID 9398838. S2CID 2028886.
  19. Tobias Wolfram & Damien Morris (July 2023). "Conventional twin studies overestimate the environmental differences between families relevant to educational attainment". npj Science of Learning. 8 (24).
  20. Silventoinen, K.; Sammalisto, S.; Perola, M.; Boomsma, D. I.; Cornes, B. K.; Davis, C.; Dunkel, L.; De Lange, M.; Harris, J. R.; Hjelmborg, J. V. B.; Luciano, M.; Martin, N. G.; Mortensen, J.; Nisticò, L.; Pedersen, N. L.; Skytthe, A.; Spector, T. D.; Stazi, M. A.; Willemsen, G.; Kaprio, J. (October 2003). "Heritability of Adult Body Height: A Comparative Study of Twin Cohorts in Eight Countries". Twin Research. 6 (5): 399–408. CiteSeerX 10.1.1.81.3898. doi:10.1375/136905203770326402. PMID 14624724. S2CID 2235255.
  21. Keller, M. C.; Medland, S. E.; Duncan, L. E. (May 2010). "Are Extended Twin Family Designs Worth the Trouble? A Comparison of the Bias, Precision, and Accuracy of Parameters Estimated in Four Twin Family Models". Behavior Genetics. 40 (3): 377–393. doi:10.1007/s10519-009-9320-x. PMC 3228846. PMID 20013306.
  22. Coventry, W. L.; Keller, M. C. (June 2005). "Estimating the Extent of Parameter Bias in the Classical Twin Design: A Comparison of Parameter Estimates from Extended Twin-Family and Classical Twin Designs". Twin Research and Human Genetics. 8 (3): 214–223. doi:10.1375/1832427054253121. PMID 15989749.
  23. Gillespie, Nathan A.; Evans, David E.; Wright, Margie. M.; Martin, Nicholas G. (2004). "Genetic Simplex Modeling of Eysenck's Dimensions of Personality in a Sample of Young Australian Twins" (PDF). Twin Research. 7 (6): 637–648. doi:10.1375/1369052042663814. PMID 15607015. Archived from the original (PDF) on 2010-06-24. Retrieved 2010-11-05.
  24. Neale, M. C.; McArdle, J. J. (September 2000). "Structured latent growth curves for twin data" (PDF). Twin Research. 3 (3): 165–177. CiteSeerX 10.1.1.336.1002. doi:10.1375/136905200320565454. PMID 11035490.
  25. Boker, Steven; Neale, Michael; Maes, Hermine; Wilde, Michael; Spiegel, Michael; Brick, Timothy; Spies, Jeffrey; Estabrook, Ryne; Kenny, Sarah; Bates, Timothy; Mehta, Paras; Fox, John (2011). "OpenMx: An Open Source Extended Structural Equation Modeling Framework". Psychometrika. 76 (2): 306–317. doi:10.1007/s11336-010-9200-6. PMC 3525063. PMID 23258944.
  26. De Moor, M. H.; Boomsma, D. I.; Stubbe, J. H.; Willemsen, G.; de Geus, E. J. (2008). "Testing causality in the association between regular exercise and symptoms of anxiety and depression". Archives of General Psychiatry. 65 (8): 897–905. doi:10.1001/archpsyc.65.8.897. PMID 18678794.
  27. Burt, S. A.; McGue, M.; Iacono, W. G. (2009). "Nonshared environmental mediation of the association between deviant peer affiliation and adolescent externalizing behaviors over time: results from a cross-lagged monozygotic twin differences design". Dev Psychol. 45 (6): 1752–60. doi:10.1037/a0016687. PMC 2778800. PMID 19899929.
  28. Richardson, Ken; Norgate, Sarah (2005-09-01). "The equal environments assumption of classical twin studies may not hold" (PDF). British Journal of Educational Psychology. 75 (3): 339–350. doi:10.1348/000709904x24690. PMID 16238870.
  29. Plomin, Robert; Willerman, Lee; Loehlin, John C. (1976-03-01). "Resemblance in appearance and the equal environments assumption in twin studies of personality traits". Behavior Genetics. 6 (1): 43–52. doi:10.1007/bf01065677. ISSN 0001-8244. PMID 943160. S2CID 30732913.
  30. Winerman, Lea (2004-04-01). "Behavioral Genetics--A second look at twin studies". Monitor on Psychology. Retrieved 2017-08-23.
  31. Kendler, K.S.; Neale, M.C.; Kessler, R.C.; Heath, A.C.; Eaves, L.J. (1993). "Panic disorder in women: A population-based twin study". Psychological Medicine. 23 (2): 397–406. doi:10.1017/s003329170002849x. PMID 8332656. S2CID 30324607.
  32. Felson, Jacob (January 2014). "What can we learn from twin studies? A comprehensive evaluation of the equal environments assumption". Social Science Research. 43: 184–199. doi:10.1016/j.ssresearch.2013.10.004. ISSN 0049-089X. PMID 24267761. ...estimates of cumulative genetic influence using molecular-level data have tended to be substantially lower than the corresponding estimates from twin studies.
  33. Van Beijsterveldt, C. E. M.; Overbeek, L. I. H.; Rozendaal, L.; McMaster, M. T. B.; Glasner, T. J.; Bartels, M.; Vink, J. M.; Martin, N. G.; Dolan, C. V.; Boomsma, D. I. (2016). "Chorionicity and heritability estimates from twin studies: The prenatal environment of twins and their resemblance across a large number of traits". Behavior Genetics. 46 (3): 304–314. doi:10.1007/s10519-015-9745-3. PMC 4858554. PMID 26410687..
  34. Conley, Dalton; Rauscher, Emily; Dawes, Christopher; Magnusson, Patrik KE; Siegal, Mark L. (2013). "Heritability and the equal environments assumption: Evidence from multiple samples of misclassified twins". Behavior Genetics. 43 (5): 415–426. doi:10.1007/s10519-013-9602-1. hdl:1808/24764. PMID 23903437. S2CID 2083213.
  35. Fosse, Roar, Jay Joseph, and Ken Richardson. "A critical assessment of the equal-environment assumption of the twin method for schizophrenia." Frontiers in psychiatry 6 (2015): 62.
  36. Barnes, J. C.; Paul Wright, John; Boutwell, Brian B.; Schwartz, Joseph A.; Connolly, Eric J.; Nedelec, Joseph L.; Beaver, Kevin M. (2014). "Demonstrating the validity of twin research in criminology". Criminology. 52 (4): 588–626. doi:10.1111/1745-9125.12049.
  37. Joseph, Jay. The trouble with twin studies: A reassessment of twin research in the social and behavioral sciences. Routledge, 2014.
  38. Felson, Jacob (2014). "What can we learn from twin studies? A comprehensive evaluation of the equal environments assumption". Social Science Research. 43: 184–199. doi:10.1016/j.ssresearch.2013.10.004. PMID 24267761.
  39. Visscher, Peter M.; Medland, Sarah E.; Ferreira, Manuel A. R.; Morley, Katherine I.; Zhu, Gu; Cornes, Belinda K.; Montgomery, Grant W.; Martin, Nicholas G. (2006). "Assumption-Free Estimation of Heritability from Genome-Wide Identity-by-Descent Sharing between Full Siblings". PLOS Genetics. 2 (3): e41. doi:10.1371/journal.pgen.0020041. PMC 1413498. PMID 16565746.
  40. Byrne, Brian; Wadsworth, Sally; Corley, Robin; Samuelsson, Stefan; Quain, Peter; Defries, John C.; Willcutt, Erik; Olson, Richard K. (2005). "Longitudinal Twin Study of Early Literacy Development: Preschool and Kindergarten Phases" (PDF). Scientific Studies of Reading. 9 (3): 219–235. CiteSeerX 10.1.1.530.7555. doi:10.1207/s1532799xssr0903_3. S2CID 144069119. Archived from the original (PDF) on 2016-03-04. Retrieved 2015-08-28.
  41. Deary, Ian J.; Spinath, Frank M.; Bates, Timothy C. (2006). "Genetics of intelligence". European Journal of Human Genetics. 14 (6): 690–700. doi:10.1038/Sj.Ejhg.5201588. PMID 16721405.
  42. Plomin, Robert; Daniels, Denise (1987). "Why are children in the same family so different from one another?". Behavioral and Brain Sciences. 10 (3): 1–16. doi:10.1017/S0140525X00055941.
    revisited in: Plomin, R.; Daniels, D. (June 2011). "Why are children in the same family so different from one another?". International Journal of Epidemiology. 40 (3): 563–582. doi:10.1093/ije/dyq148. PMC 3147063. PMID 21807642.
  43. Kempthorne, Oscar (1997). "Heritability: uses and abuses". Genetica. 99 (2–3): 109–112. doi:10.1007/bf02259514. PMID 9463066. S2CID 23266944.
  44. Kendler, K. S.; Gruenberg, A. M. (June 1984). "An Independent Analysis of the Danish Adoption Study of Schizophrenia: VI. The Relationship Between Psychiatric Disorders as Defined by DSM-III in the Relatives and Adoptees". Archives of General Psychiatry. 41 (6): 555–564. doi:10.1001/archpsyc.1984.01790170029004. PMID 6732417.
  45. Kamin, Leon J.; Rose, Steven R.; Lewontin, Richard C. (1984). Not in Our Genes: Biology, Ideology and Human Nature. New York: Penguin Books. ISBN 978-0-14-022605-8.
  46. Rose, Richard J. (1982). "Separated Twins: Data and Their Limits". Science. 215 (4535): 959–960. Bibcode:1982Sci...215..959F. doi:10.1126/science.215.4535.959. PMID 17821364.
  47. 1 2 3 M. C. Neale and H. H. Maes. (1996). Methodology for genetics studies of twins and families. Journal.
  48. Petrill, S. A.; Deater-Deckard, K. (July–August 2004). "The heritability of general cognitive ability: A within-family adoption design". Intelligence. 32 (4): 403–409. doi:10.1016/j.intell.2004.05.001.
  49. Steer, C. D.; Davey Smith, G.; Emmett, P. M.; Hibbeln, J. R.; Golding, J. (July 2010). Penha-Goncalves, Carlos (ed.). "FADS2 Polymorphisms Modify the Effect of Breastfeeding on Child IQ". PLoS ONE. 5 (7): e11570. Bibcode:2010PLoSO...511570S. doi:10.1371/journal.pone.0011570. PMC 2903485. PMID 20644632.
  50. e.g. Davey Smith, G. (September 2007). "Capitalizing on Mendelian randomization to assess the effects of treatments". Journal of the Royal Society of Medicine. 100 (9): 432–435. doi:10.1177/014107680710000923. PMC 1963388. PMID 17766918.
  51. 1 2 Burt, Callie; Simons, Ronald L. (May 2014). "Pulling back the curtain on heritability studies : Biosocial criminology in the postgenomic era". Criminology. 52 (2): 223–262. doi:10.1111/1745-9125.12036.
  52. Ho, Mae-Wan (2013). "No Genes for Intelligence in the Fluid Genome". In Lerner, Richard; Benson, Janette B. (eds.). Embodiment and Epigenesis: Theoretical and Methodological Issues in Understanding the Role of Biology within the Relational Developmental System – Part B: Ontogenetic Dimensions. Advances in Child Development and Behavior. Vol. 45. Elsevier. pp. 67–92. doi:10.1016/b978-0-12-397946-9.00004-x. ISBN 9780123979469. PMID 23865113.
  53. Joseph, Jay (2002). "Twin Studies in Psychiatry and Psychology: Science or Pseudoscience?". Psychiatric Quarterly. 73 (1): 71–82. doi:10.1023/a:1012896802713. ISSN 0033-2720. PMID 11780600. S2CID 7229563.
  54. Charney, Evan (2016-12-01). "Genes, behavior, and behavior genetics". Wiley Interdisciplinary Reviews: Cognitive Science. 8 (1–2): e1405. doi:10.1002/wcs.1405. hdl:10161/13337. ISSN 1939-5078. PMID 27906529.
  55. Segalowitz, Sidney J. (October 1999). "Why twin studies really don't tell us much about human heritability". Behavioral and Brain Sciences. 22 (5): 904–905. doi:10.1017/S0140525X99442207. ISSN 1469-1825. S2CID 143865688.
  56. Felson, Jacob (January 2014). "What can we learn from twin studies? A comprehensive evaluation of the equal environments assumption". Social Science Research. 43: 184–199. doi:10.1016/j.ssresearch.2013.10.004. ISSN 0049-089X. PMID 24267761.
  57. Loehlin, John C.; Nichols, Robert (1976). Heredity, environment, & personality: a study of 850 sets of twins. Austin: University of Texas Press. ISBN 978-0-292-73003-8. JSTOR 2826060.
  58. Schönemann, Peter H. (1997). "On models and muddles of heritability". Genetica. 99 (2–3): 97–108. doi:10.1023/A:1018358504373. PMID 9463078. S2CID 37292855.
  59. Schönemann, Peter H. (1995). Totems of the IQ Myth: General Ability (g) and its Heritabilities (h2, HR). 1995 Meetings of the American Association for the Advancement of Sciences.
  60. Pam, A.; Kemker, S. S.; Ross, C. A.; Golden, R. (July 1996). "The "Equal Environments Assumption" in MZ-DZ Twin Comparisons: an Untenable Premise of Psychiatric Genetics?". Acta Geneticae Medicae et Gemellologiae: Twin Research. 45 (3): 349–360. doi:10.1017/S0001566000000945. ISSN 0001-5660. PMID 9014000. S2CID 34798197.
  61. M. C. Neale, S. M. Boker, G. Xie and H. H. Maes. (2002). Mx: Statistical Modelling. Journal.
  62. Record, R. G.; McKeown, Thomas; Edwards, J. H. (1970). "An investigation of the difference in measured intelligence between twins and single births". Annals of Human Genetics. 34 (1): 11–20. doi:10.1111/j.1469-1809.1970.tb00215.x. PMID 5529232. S2CID 30109683.
  63. Woollett, Anne; Clegg, Averil (1983). Twins: from conception to five years. London: Century. p. 127. ISBN 978-0-7126-0204-4. OCLC 12445470.
  64. Corson, S. L.; Dickey, R. P.; Gocial, B.; Batzer, F. R.; Eisenberg, E.; Huppert, L.; Maislin, G. (1989). "Outcome in 242 in vitro fertilization-embryo replacement or gamete intrafallopian transfer-induced pregnancies". Fertility and Sterility. 51 (4): 644–650. doi:10.1016/S0015-0282(16)60614-3. PMID 2924931.
  65. Derom, C.; Derom, R.; Vlietinck, R.; Berghe, H. V.; Thiery, M. (May 1987). "Increased Monozygotic Twinning Rate After Ovulation Induction". The Lancet. 329 (8544): 1236–1238. doi:10.1016/S0140-6736(87)92688-2. PMID 2884372. S2CID 919014.
  66. Edwards, R. G.; Mettler, L.; Walters, D. E. (April 1986). "Identical twins and in vitro fertilization". Journal of In Vitro Fertilization and Embryo Transfer. 3 (2): 114–117. doi:10.1007/BF01139357. PMID 3701181. S2CID 27421288.
  67. Leigh, Gillian (1983). All About Twins: A Handbook for Parents. London: Routledge and Kegan Paul. ISBN 978-0-7100-9888-7.
  68. Capron, Christiane; Vetta, Adrian R.; Duyme, Michel; Vetta, Atam (1999). "Misconceptions of biometrical IQists". Cahiers de Psychologie Cognitive/Current Psychology of Cognition. 18 (2): 115–160.
  69. Fatal Flaws in the Twin Study Paradigm: A Reply to Hatemi and Verhulst, Doron Shultziner 2013
  70. Twin Studies of Political Behavior: Untenable Assumptions?, Jon Beckwith and Corey A. Morris 2008
  71. Critical Analysis: A Comparison of Critical Thinking Changes in Psychology and Philosophy Classes, Teaching of Psychology 2014 41: 28
  72. Association for Psychological Science: Why Science Is Not Necessarily Self-Correcting, John P. A. Ioannidis 2012
  73. How Black African and White British Women Perceive Depression and Help-Seeking: a Pilot Vignette Study, International Journal of Social Psychiatry March 2010

Further reading

Critical accounts

This book has been critically reviewed for the American Psychological Association. Hanson, D. R. (2005). 'The Gene Illusion Confusion: A review of The Gene Illusion: Genetic Research in Psychiatry and Psychology Under the Microscope by Jay Joseph' [Electronic Version]. PsycCritiques, 50, e14.
  • Capron, Christiane; Vetta, Adrian R.; Duyme, Michel; Vetta, Atam (1999). "Misconceptions of biometrical IQists". Cahiers de Psychologie Cognitive/Current Psychology of Cognition. 18 (2): 115–160.
  • Horwitz, AV; Videon, TM; Schmitz, MF; Davis, D (Jun 2003). "Rethinking twins and environments: possible social sources for assumed genetic influences in twin research". J Health Soc Behav. 44 (2): 111–129. doi:10.2307/1519802. JSTOR 1519802. PMID 12866384.
  • And in reply to this article see:

Academic bodies

Several academic bodies exist to support behavior genetic research, including the Behavior Genetics Association, the International Society for Twin Studies, and the International Behavioural and Neural Genetics Society. Behavior genetic work also features prominently in several more general societies, for instance the International Society of Psychiatric Genetics.

Journals

Prominent specialist journals in the field include Behavior Genetics, Genes, Brain and Behavior, and Twin Research and Human Genetics.

This article is issued from Wikipedia. The text is licensed under Creative Commons - Attribution - Sharealike. Additional terms may apply for the media files.