Азирин

Азирин
Изображение химической структуры
Общие
Хим. формула C2H3N
Физические свойства
Молярная масса 41,0519 г/моль
Плотность 1,03 г/см3 г/см³
Классификация
Рег. номер CAS 157-17-4
PubChem
SMILES
 
InChI
ChEBI 30971
ChemSpider
Приведены данные для стандартных условий (25 °C, 100 кПа), если не указано иное.
Логотип Викисклада Медиафайлы на Викискладе
Изомеры азирина

Азири́н (2H-азирин) — гетероциклическое соединение, трехчленный цикл с одной двойной связью и одним атомом азота. В свободном виде незамещенный не получен[1]. Изомерен 1H-азирину. 1H-азирины изомеризуются в таутомерные 2H-азирины.

Синтез азиринов

2H-азирины образуются при нагреве или фотолизе растворов α-винилазидов, при этом от азидной группы отщепляется молекула азота, после чего образовавшийся нитрен внедряется по двойной связи с образованием азирина:

2H-азирины, образующиеся при действии сильных оснований на сульфонаты кетоксимов, являются интермедиатами в перегруппировке Небера[2] и в ряде случаев могут быть выделены:

Также используется термолиз и фотолиз изооксазолов[3].

Реакционная способность

В связи с нестабильностью большинства 2H-азиринов, реакции с ними проводят путём получения их в реакционной среде.

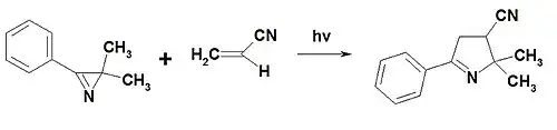
Фотолиз азиринов (длина волны менее 300 нм) является очень эффективным методом генерации 1,3-диполярных нитрил-илидов. Эти илиды вступают в реакции с различными диполярофилами с образованием гетероциклических соединений, например 1-пирролинов.

Катализируемый кислотами, например концентрированной соляной кислотой, гидролиз 2Н-азиринов приводит к α-аминокетонам.

2H-азирины не обладают основными свойствами и не растворяются в разбавленной соляной кислоте. Восстанавливаются алюмогидридом лития до цис-азиридинов. Двойная связь в 2H-азиринах легко участвует как 2π-компонента в диеновом синтезе. Восстановление водородом на палладиевой черни или никеле Ренея приводит к разрыву C=N связи.

Из азиринов под действием нуклеофилов либо аминированием алкенов получают Азиридинкарбоновые кислоты (неприродная α-аминокислота, замещённый азиридин).

Aziridine-2-carboxylic acid synthesis
Aziridine-2-carboxylic acid synthesis

Нахождение в природе

Азириновый цикл входит во многие природные соединения, например антибиотик Азиромицин, выделенный из Streptomyces auras.

Примечания

  1. Химия. Справочное руководство. Пер. с нем. Л., Химия 1975, с. 357.
  2. Ли Дж. Дж. Именные реакции. Пер. с англ. М., Бином 2006, с. 243
  3. Arnold Wiessberger, The chemistry of heterocyclic compounds: Small heterocycles — Part 1, An Interscience 1983,v.42, p.231