Гидрид бериллия

Гидрид бериллия
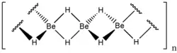
Изображение химической структуры
Общие
Систематическое
наименование
Гидрид бериллия
Хим. формула BeН2
Рац. формула BeН2
Физические свойства
Состояние твёрдое
Молярная масса 11,02806 г/моль
Плотность 0,65 г/см³
Термические свойства
Температура
  разложения 125 °C
Мол. теплоёмк. 30,124 Дж/(моль·К)
Энтальпия
  образования 4234,208 кДж/моль
Классификация
Рег. номер CAS 7787-52-2
PubChem
SMILES
InChI
ChEBI 33787
ChemSpider
Приведены данные для стандартных условий (25 °C, 100 кПа), если не указано иное.
Логотип Викисклада Медиафайлы на Викискладе

Гидрид бериллия — химическое соединение бериллия и водорода. Представляет собой твёрдое аморфное вещество белого цвета. В сухом воздухе достаточно стабильно, во влажном — быстро разлагается[1].

Получение и свойства

В отличие от других гидридов элементов II группы, в которых водород и элемент связаны ионной связью, в гидриде бериллия связь между водородом и бериллием ковалентная[2] (двухэлектронная трёхцентровая связь)[3].

Гидрид бериллия, как правило, образуется в виде аморфного твердого вещества, но при его нагревании под давлением (в присутствии 0,5-2,5 % LiH как катализатора) образуется гексагональная кристаллическая форма с более высокой плотностью (~ 0,78 г/см3).[4]

Получить гидрид бериллия прямым взаимодействием металлического бериллия и водородом невозможно, поэтому его получают косвенными методами. Впервые гидрид бериллия был синтезирован в 1951 г. путём взаимодействия раствора диметилбериллия в диэтиловом эфире с алюмогидридом лития:[1]

Другой метод получения ВеН2 — термическое разложение (при температурах от 200 до 250° С) металлорганических соединений бериллия, в том числе диметилбериллия[1] и ди(третбутил)бериллия[5]:

 + 2 х изобутан.

Гидрид бериллия высокой чистоты получается в результате реакции трифенилфосфина с боргидридом бериллия:[6]

Химические свойства

Гидрид бериллия при нагревании до 125°С разлагается на бериллий и газообразный водород:

Вода разлагает гидрид бериллия на гидроксид бериллия и свободный водород:

В токе чистого кислорода быстро окисляется (иногда с воспламенением):

При нагревании взаимодействует с гидроксидами щелочных металлов, с образованием твердых бериллатов и газообразного водорода:

Применение

Примечания

  1. 1 2 3 Химия и технология редких и рассеянных элементов: Учеб. пособие для вузов: Ч. I / Под ред. К. А. Большакова. — 2-е изд., перераб. и доп.- М.: Высшая школа, 1976. — С.176.
  2. Химическая энциклопедия / Редкол.: Кнунянц И.Л. и др.. М.: Советская энциклопедия, 1988. — Т. 1. — 623 с.
  3. А. Дубов. Квантовый компьютер рассчитал структуру гидрида бериллия Архивная копия от 23 мая 2020 на Wayback Machine
  4. Brendel G. J., Marlett E. M., Niebylski L. M. Crystalline beryllium hydride. — Inorganic Chemistry (journal). — 1978. — Vol. 17/ — P. 3589-3592
  5. Coates G. E. and Glockling F. Di-tert.-butylberyllium and beryllium hydride. — J. Chem. — 1954. Soc.: 2526—2529.
  6. Greenwood N. N., Earnshaw A. Chemistry of the Elements (2nd ed.). — Oxford: Butterworth-Heinemann, 1997.- P. 115. — ISBN 0-08-037941-9
  7. Сарнер С. Химия ракетных топлив = Propellant chemistry. М.: Мир, 1969. — 488 с.