Декстран
| Декстран | |
|---|---|
![]() | |
| Общие | |
| Хим. формула | H(C6H10O5)nOH |
| Физические свойства | |
| Молярная масса | варьирует г/моль |
| Классификация | |
| Рег. номер CAS | 9004-54-0 |
| Рег. номер EINECS | 232-677-5 |
| ChEBI | 52071 |
| Приведены данные для стандартных условий (25 °C, 100 кПа), если не указано иное. | |
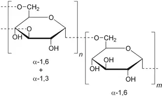
Декстран — полисахарид, разветвлённый полимер глюкозы со средней массой цепей от 3 до 20000 кДа[1]. Главная цепь состоит из молекул, связанных связью α-1,6, а боковые ветви присоединены связями α-1,3. Декстран синтезируется из сахарозы некоторыми молочнокислыми бактериями. В качестве наиболее известных видов можно привести Leuconostoc mesenteroides и Streptococcus mutans. Крайне обильно декстраны представлены в зубном налёте[2].
В медицине используется как антитромботик для снижения вязкости крови и как наполнитель для увеличения объёма при гиповолемии[3][4].
Декстран впервые был выявлен Луи Пастером как микробный продукт в вине[5].
Использование
Модифицированием декстрана получается природный биополимер декстраналь.
в медицинских целях
Высокомолекулярные декстраны применяются для восполнения ОЦК при кровопотерях, шоках различного генеза. Среднемолекулярные декстраны используются при различных интоксикациях, нарушениях реологических свойств крови и капиллярного кровотока, для лечения и профилактики тромбофлебитов и шоковых состояний.
См. также
Ссылки
- ДЕКСТРАНИ //Фармацевтическая энциклопедия (укр.)
Примечания
- ↑ Канюка О. І., Скорохід В. Й., Гуфрій Д. Ф. Клінічна ветеринарна фармакологія. — Київ : В-во УСГА, 1993. — 293 с. ISBN 5-7987-0067-4 (с.:235)
- ↑ Staat R. H., Gawronski T. H., Schachtele C. F. Detection and preliminary studies on dextranase-producing microorganisms from human dental plaque (англ.) // Infect. Immun. : journal. — 1973. — Vol. 8. — P. 1009—1016. — PMID 4594114. — PMC 422963.
- ↑ Lewis, Sharon L. Medical Surgical Nursing (неопр.). — 8th. — 2010. — ISBN 978-0323079150.
- ↑ Булавін Л. А., Алексєєв О. М., Гаркуша Л. М., Забашта Ю. Ф., Ткачов С. Ю. Конфигурацийные переходы в водных расстворах декстрана /// Полімерний журнал Науковий журнал. — 2011. Т.33, № 4 Архивная копия от 3 декабря 2012 на Wayback Machine
- ↑ Pasteur, L. On the viscous fermentation and the butyrous fermentation (фр.) // Bull. Soc. Chim. Paris. — 1861. — Т. 11. — С. 30—31. — ISSN 0037-8968.

