Каротин

Каротин
Общие
Хим. формула С40H56
Внешний вид Тёмно-оранжевые кристаллы
Физические свойства
Молярная масса 536,888 г/моль
Плотность 1,00 г/см³
Термические свойства
Температура
  плавления 183 °C
  кипения 654,7 °C
  вспышки 103 °C
Давление пара 2,71 · 10^(-16) мм рт. ст.
Химические свойства
Растворимость
  в дихлорметане (20 °C): 0,598 г/100 мл
  в гексане: 0,01 г/100 мл
Оптические свойства
Показатель преломления 1,565
Классификация
ChEBI 23042
Безопасность
Сигнальное слово Осторожно
Пиктограммы СГС Пиктограмма «Восклицательный знак» системы СГС
Приведены данные для стандартных условий (25 °C, 100 кПа), если не указано иное.
Логотип Викисклада Медиафайлы на Викискладе
Каротин придаёт оранжевый цвет многим фруктам и овощам
Ферма по культивированию водорослей для промышленного получения β-каротина. Австралия

Кароти́н (от лат. carota «морковь») — жёлто-оранжевый пигмент, непредельный углеводород из группы каротиноидов.

Эмпирическая формула С40H56. Нерастворим в воде, но растворяется в органических растворителях. Содержится в листьях всех растений, а также в корнеплоде моркови, ягодах шиповника и др. Является провитамином витамина A. Зарегистрирован в качестве пищевой добавки Е160a.

Изомеры

α-каротин
β-каротин

Различают два изомера каротина: α-каротин и β-каротин. β-каротин встречается в жёлтых, оранжевых и зелёных листьях фруктов и овощей. Например, в шпинате, салате, томатах, батате и других продуктах растительного происхождения.

Номенклатура

Два концевых фрагмента (β-кольца) молекулы β-каротина структурно идентичны. Молекула α-каротина содержит два концевых циклических фрагмента, отличающихся расположением двойной связи в кольце. Один из концевых фрагментов называется β-кольцо, идентичное β-кольцу β-каротина, другой же называется ε-кольцо.

Возможны следующие варианты пространственного расположения частей молекулы, определяющие структуру изомера:

  • α-Каротин β,ε-Каротин;
  • β-Каротин β,β-Каротин;
  • γ-Каротин (с одним β кольцом и одним нециклизованным концом, что обозначается буквой пси) — β,ψ-Каротин;
  • δ-Каротин (с одним ε — кольцом и одним нециклизованным концом) — ε,ψ-Каротин;
  • ε-Каротин ε,ε-Каротин

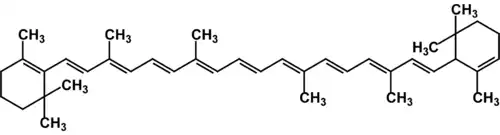
Молекулярная структура каротинов

Каротины — это полиненасыщенные углеводороды, содержащие 40 атомов углерода на молекулу, переменное количество атомов водорода и никаких других элементов. Некоторые каротины заканчиваются кольцами на одном или обоих концах молекулы. Все они окрашены из-за наличия сопряженных двойных связей. Каротины — это тетратерпены, что означает, что они получены из восьми 5-углеродных изопреновых единиц (или четырех 10-углеродных терпеновых единиц).

Каротины встречаются в растениях в двух основных формах, обозначенных буквами греческого алфавита: альфа-каротин (α-каротин) и бета-каротин (β-каротин). Гамма-, дельта-, эпсилон- и зета-каротин (γ-, δ-, ε- и ζ-каротин) также существуют. Поскольку они являются углеводородами и, следовательно, не содержат кислорода, каротины растворимы в жирах и нерастворимы в воде (в отличие от других каротиноидов, ксантофиллов, которые содержат кислород и, следовательно, менее химически гидрофобны).

Источники каротина

В качестве источников каротина используют растения (например, тыква, морковь), бактерии (некоторые штаммы стафилококков), водоросли и грибы с высоким содержанием целевого вещества.

Каротиноиды получают с помощью химического синтеза[1][2] и путём выделения из природных источников — растений и микроорганизмов[3][4][5]. Несмотря на то, что каротин может быть получен с помощью химического синтеза, его производят преимущественно из природного сырья. Использование растений в качестве источника каротиноидов имеет ряд недостатков: носит сезонный характер; зависит от экологического состояния почв и урожаев растений, запасы сырья существенно снижаются из-за накопления источников болезней растительного сырья; требуются крупных посевных площадей под выращивание растений.

Биодоступность источника каротиноидов из сока овощей невелика из-за нахождения каротиноидов в составе белковых комплексов, что значительно затрудняет их высвобождение. Усвояемость каротина из овощей при диете без жиров очень низкая.

Микробиологический синтез бета-каротина является наиболее оправданным промышленным способом его производства как с технологической, так и с экономической точек зрения[6]. «Микробиологические» каротиноиды, в том числе бета-каротин, получают из клеток мицелиальных грибов, дрожжей, бактерий, актиномицетов и водорослей[7][8][9]. Грибы имеют большое значение как продуценты различных биологически активных веществ для пищевой промышленности, медицины, сельского хозяйства и других отраслей. Не исключение и микроскопический мукоровый гриб Blakeslea trispora. Штаммы Blakeslea trispora являются сверхпродуцентами β-каротина и ликопина[10][11][12][13] и, кроме того, возможен биосинтез других ценных соединений терпеноидной природы — убихинонов, эргостерина[14][15][16]. Во время биосинтеза каротина микроорганизмами он накапливается в клетках продуцента. Собственные жиры гриба Blakeslea trispora составляют до 60 % всей биомассы, что способствует растворению каротина при ферментации. Это соответственно повышает его доступность для усвоения. Технология получения микробиологических каротиноидов является экологически чистой ввиду отсутствия вредных выбросов и применения неагрессивных химических веществ. Исходным сырьём в производстве каротиноидов являются побочные, промежуточные продукты и отходы крахмало-паточного производства, мукомольной, консервной, масляной и мясомолочной промышленности.

Бета-каротин

Описание

Бета-каротин — жёлто-оранжевый растительный пигмент, один из 600 природных каротиноидов. Служит предшественником витамина A (ретинол) и является мощным антиоксидантом. Также это вещество обладает иммуностимулирующим и адаптогенным действием[17].

Источники

Тыква, морковь, зелёный лук, щавель, шпинат, латук, салат, салат романо, капуста кейл, помидоры, красный перец, брокколи, батат, грейпфруты, сливы, персики, дыни, абрикосы, хурма, крыжовник, черника, чёрная смородина.

Бета-каротин содержится в уникальном соляном месторождении в Крыму на озере Сасык. Натуральный компонент попадает в соляные бассейны благодаря цветению водоросли Dunaliella sallina, которая сумела приспособиться к жёстким условиям ультрасолёной воды и солнечной радиации, научившись вырабатывать бета-каротин. Таким образом, бета-каротин сопутствует основным компонентам натуральной морской соли.

Суточная потребность

Согласно методическим рекомендациям по нормам рационального питания «Нормы физиологических потребностей в энергии и пищевых веществах для различных групп населения Российской Федерации» от 18 декабря 2008 г. (МР 2.3.1.2432 −08)[18], 6 мг бета-каротина эквивалентны 1 мг витамина A. Среднее потребление в разных странах — 1,8—5,0 мг/сутки. Верхний допустимый уровень потребления не установлен. Физиологическая потребность для взрослых — 5 мг/сутки (вводится впервые).

Последующие исследования показали, что в действительности витаминная Aктивность каротиноидов в два раза ниже, по сравнению с тем, что считалось ранее. Поэтому в 2001 году Институт медицины США предложил очередную новую единицу — эквивалент активности ретинола (RAE). 1 RAE соответствует 1 мкг ретинола, 2 мкг растворённого в жире β-каротина (в виде фармацевтического препарата), 12 мкг «пищевого» β-каротина или 24 мкг иных провитаминов A.

Механизм действия

Ненасыщенная структура бета-каротина позволяет его молекулам поглощать свет и предотвращать накопление свободных радикалов и активных форм кислорода, подавлять выработку свободных радикалов. Предполагается, что тем самым он защищает клетки иммунной системы от повреждения свободными радикалами и может улучшать состояние иммунитета[17]. Бета-каротин — естественный иммуностимулятор, который повышает иммунный потенциал организма независимо от вида антигенов, то есть действует неспецифично.

В некоторых исследованиях показан его слабо выраженный иммуностимулирующий эффект[19].

Существует множество публикаций, касающихся влияния бета-каротина на увеличение количества Т-хелперов. При этом в некоторых экспериментах фиксируется увеличение количества всех Т-лимфоцитов, а в некоторых только Т-хелперов[20].

Наибольший эффект показан у лиц (людей и животных), испытывающих оксидативный стресс (неправильная диета, заболевания, пожилой возраст). У полностью здоровых организмов эффект часто минимальный или отсутствует[21].

Сам эффект связан с увеличением пролиферативной способности Т-лимфоцитов, в том числе Т(0,1,2)-хелперов. Пролиферация Т-лимфоцитов тормозится пероксидным радикалом. Ликвидация пероксидных радикалов увеличивает способность Т-клеток к бластогенезу. Бета-каротин также стимулирует у животных рост тимусовых гланд — источников Т-лимфоцитов[22].

Это неспецифический эффект большинства липофильных антиоксидантов (лютеин, криптоксантин, ретинол, токоферол, альфа-каротин, астаксантин)[23].

Эпизодическое накопление именно Т-хелперов, а не других лимфоцитов связано, по-видимому, с конкретной цитокинной обстановкой в организме[24].

Увеличение пролиферативной способности Т-лимфоцитов под влиянием бета-каротина показано также в модельных экспериментах с культурами лимфоцитов (причем не только Т-лимфоцитов). Использование специфических митогенов (CON A) приводит к пролиферации лимфоцитов. Это имитация цитокинной обстановки при иммунном ответе. Т-лимфоциты с бета-каротином сильнее пролиферируют, чем контрольные. В исследованиях сделаны выводы, что при инфекции препарат бета-каротина будет ускорять иммунную реакцию[25]. Рост и дифференциация Т-хелперов также зависит от наличия интерлейкинов 1,2,4. Эти цитокины формируются в самих Т-лимфоцитах и макрофагах. Бета-каротин значительно увеличивает активность макрофагов, поскольку в них идут специфические перекисные процессы, требующие большого количества антиоксидантов. Макрофаги помимо фагоцитоза, осуществляют презентацию антигена и стимулируют соответствующие Т-хелперы. Это приводит к росту числа Т-хелперов. Но только при наличии антигена[26].

Некоторые отечественные ученые связывают иммуномодулирующую активность бета-каротина с влиянием на арахидоновую кислоту и её метаболиты[27].

В частности предполагается, что бета-каротин подавляет производство продуктов арахидоновой кислоты (относится к омега-жирным кислотам), за счёт этого ингибирует выработку простагландина Е2 (липидное физиологически-активное вещество)[28]. Простагландин Е2 является супрессором NK-клеток. Снижая его содержание, бета-каротин усиливает активность NK-клеток, продуцирующих гамма-интерферон. Таким образом, бета-каротин осуществляет своё иммуностимулирующее действие[29].

Препараты бета-каротина

  • Веторон (разрешён с 3 лет)
  • Бетавитон (разрешён с 14 лет)
  • Триовит (разрешён с 12 лет)
  • Липовитам 126 (разрешён с 14 лет)

Каротинемия

Каротинемия или гиперкаротинемия — избыток каротина в организме (в отличие от избытка витамина A, каротин малотоксичен). Обычно каротинемия не рассматривается как опасное состояние, хотя и ведёт к пожелтению кожи (каротинодермия). Часто наблюдается, если в пище много моркови, но также может быть симптомом более опасных состояний.

Каротин и раковые заболевания

Ранее исследования показывали, что бета-каротин, будучи антиоксидантом, снижает вероятность заболеваний раком людей, употребляющих много продуктов, богатых этим веществом. Но в последние десятилетия крупные исследования доказали, что употребление бета-каротина, напротив, приводит к увеличению вероятности заболевания раком лёгких и раком простаты у курильщиков, а также у людей, работающих на асбестовом производстве[30].

Исследование, ещё в 1994 году опубликованное в журнале «The New England Journal of Medicine»[31], позволило обнаружить, что приём бета-каротина на 18 % увеличивает вероятность возникновения раковых заболеваний у курильщиков.

По данным другого исследования, опубликованного в журнале «Journal of the National Cancer Institute»[32], заболеваемость у курильщиков возрастает вследствие приёма каротина на 28 %.

Обобщённые в 2009 году научные данные подтверждают гипотезу о том, что у курящих людей потребление высоких доз бета-каротина может повышать риск развития рака лёгких[33]. Конкретный механизм такого воздействия каротина неизвестен.

Каротин как источник запаха

Многие растения, в аромате которых существенную роль играет ионон, обязаны своим запахом значительной концентрации каротина — структурного предшественника молекулы ионона.

Пищевая добавка

Каротин одобрен для использования в качестве пищевой добавки в Европейском союзе[34], Австралии, Новой Зеландии[35], США[36] и множестве других стран мира и имеет номер E160a в Кодексе Алиментариус. Чаще всего каротин используется для окрашивания таких продуктов, как соки, торты, десерты, масло и маргарин[37].

Объединённый экспертный комитет ФАО/ВОЗ по пищевым добавкам (JECFA) в 2001 году установил допустимое суточное потребление (ДСП) каротина в количестве 5 мг/кг массы тела[38]. В 2012 году Европейское агентство по безопасности продуктов питания (EFSA) провело переоценку каротина в качестве пищевой добавки[39]. Комиссия EFSA не смогла установить ДСП, однако уточнила, что потребление каротина из пальмового масла, моркови и водорослей в любом случае больше, чем в качестве пищевой добавки[39].

См. также

Примечания

  1. Пат. 2074177 RU, МКИ C07C403/24. Способ получения бета-каротина / Е. П. Ковсман, К. А. Солоп, В. Д. Бательман, Г. И. Самохвалов, В. Л. Христофоров, Л. А. Вакулова, Т. А. Жидкова. — № 93035263/04; Заявл. 07.07.1993; Опубл. 27.02.1997
  2. Пат. 2152929 RU, МКИ C07C403/24. Способ очистки технического β-каротина / В. М. Белова; Т. И. Озорова; В. П. Беловодский; С. Н. Анакин; И. П. Серпуховитин; Г. Б. Гвоздев; Д. В. Давыдович; А. Т. Кирсанов. — № 99115385/04; Заявл. 12.07.1999; Опубл. 20.07.2000
  3. Пат. 2177505 RU, МКИ C12P23/00, C12N1/14, C12N1/14, C12R1:645. Пара штаммов гетероталличного гриба Blakeslea trispora КР 74+ и КР 86−, продуцирующая бета-каротин / И. С. Кунщикова (UA); Р. В. Казарян (RU); С. П. Кудинова (RU). — № 2000103831/13; Заявл. 15.02.2000; Опубл. 27.12.2001
  4. Петрова Жанна Олександрівна. Розробка процесів одержання каротиновмісних харчових продуктів: Дис… канд. техн. наук: 05.18.12 / Інститут технічної теплофізики НАН України. — К., 2004. — 218 с.
  5. Постоєнко Олена Михайлівна. Екологічні характеристики культурних і дикорослих каротиноносних рослин — накопичувачів вірусів та ксенобіотиків і метод отримання з них каротину: Дис… канд. біол. наук: 03.00.16 / Київський національний ун-т ім. Тараса Шевченка. — К., 2003. — 120 c.
  6. Сааков В. С. Альтернативные пути биосинтеза каротиноидов у Procaryota и Eucaryota // Докл. АН России. — 2003. — Т.392. — № 6. — С. 825—831.
  7. Камінська М. Каротинсинтезуючі дріжджі Phaffia rhodozyma / М. Камінська, Л. Сологуб // Вісник львів. Ун-ту. Сер. біол., 2004. — Вип. 37. — С. 3-12.
  8. Камінська Марта Володимирівна. Каротиногенез у різних штамів дріжджів Phaffia rhodozyma та їх застосування у живленні курей-несучок: дис… канд. с.-г. наук: 03.00.04 / УААН; Інститут біології тварин. — Л., 2005. — 144 c.
  9. Прімова Л. О. Особливості азотистого складу біомаси мукорового гриба Blakeslea trispora / Л. О. Прімова, Висоцький І. Ю. // Вісник СумДУ. Серія Медицина, 2008. — Т. 1. — № 2. — С. 27—34.
  10. Авчиев М. И., Буторова И. А., Авчиева П. Б. Изучение особенностей роста и накопления ликопина парой гетероталличного гриба Blakeslea trispora ВСБ-130(+) и ВСБ-129(-)// Біотехнологія. — 2003. — № 3. — С. 12—19.
  11. Терёшина В. М., Меморская А. С., Феофилова Е. П. Экспресс-метод определения содержания ликопина и b-каротина // Микробиология. — 1994. — Т.63. — № 6. — С. 1111—1116.
  12. Терёшина В. М., Меморская А. С., Феофилова Е. П. Состав липидов у мукорового гриба Blakeslea trispora в условиях стимуляции ликопинообразования // Микробиология. — 2010. — Т.79. — № 1. — С. 39—44.
  13. Mantzouridoua F., Tsimidou M. Z. On the monitoring of carotenogenesis by Blakeslea trispora using HPLC // Food Chemistry. — 2007. — Vol.104. — № 1. — P. 439—444.
  14. Деев С. В., Буторская И. А., Авчиева П. Б. Выделение убихинонов из биомассы гриба Blakeslea trispora // Биотехнология. — 2000. — № 5. — С. 36—46.
  15. Деев С. В., Буторская И. А., Авчиева П. Б. Синтез и выделение эргостерина при использовании в качестве продуцента гриба Blakeslea trispora // Біотехнологія. — 2000. — № 4. — С. 22—31.
  16. Терёшина В. М. Состав липидов у мукорового гриба Blakeslea trispora в условиях стимуляции ликопинообразования / В. М. Терёшина, А. С. Меморская, Е. П. Феофилова // Микробиология. — 2010. — Т. 79. — № 1. — С. 39—44.
  17. 1 2 SANTOS M. S.; LEKA L. S.; RIBAYA-MERCADO J. D.; RUSSELL R. M.; MEYDANI M.; HENNEKENS C. H.; GAZIANO J. M.; MEYDANI S. N.; Short- and long-term β-carotene supplementation do not influence T cell-mediated immunity in healthy elderly persons.
  18. «Нормы физиологических потребностей в энергии и пищевых веществах для различных групп населения Российской Федерации» МР 2.3.1.2432-08 Архивировано 19 февраля 2016 года.
  19. van Poppel G, Spanhaak S, Ockhuizen T. Effect of beta-carotene on immunological indexes in healthy male smokers. Am. J. Clin. Nutr. 1993 Mar; 57(3):402-407.
  20. Sampliner, Richard E., Watson, Ronald R., Garewal, Harinder S., Prabhala, Rao H., Hicks, Mary J. The effects of 13-cis-retinoic acid and beta-carotene on cellular immunity in humans. 1991.
  21. Boon P. Chew2 and Jean Soon Park. Proceedings of Symposium to Honor the Memory of James Allen Olson. Carotenoid Action on the Immune Response. Department of Animal Sciences, Washington State University, Pullman, WA 99164-6351
  22. Boon P. Chew. Antioxidant Vitamins Affect Food Animal Immunity and Health. Department of Animal Sciences, Washington State University, Pullman, WA 99164-6320
  23. Chung-Yung Jetty Lee and Jennifer Man-Fan Wan Immunoregulatory and antioxidant performance of О±-tocopherol and selenium on human lymphocytes. Department of Zoology, University of Hong Kong, Pokfulam Road, Hong Kong, SAR, China.
  24. Satoru Moriguchi Ph.D., Naoko Okishima B.S., Satoshi Sumida Ph.D., Koji Okamura M.S., Tatsuya Doi M.S.and Yasuo Kishino M.D. β-carotene supplementation enhances lymphocyte proliferation with mitogens in human peripheral blood lymphocytes. Nutrition Research Volume 16, Issue 2, February 1996, Pages 211—218.
  25. Boon P. Chew2, Jean Soon Park, Teri S. Wong, Hong Wook Kim, Brian B. C. Weng, Katherine M. Byrne, Michael G. Hayek* and Gregory A. Reinhart. Dietary ß-Carotene Stimulates Cell-Mediated and Humoral Immune Response in Dogs. Journal of Nutrition. 2000; 130:1910-1913.
  26. B-Carotene and the immune response. BY ADRIANNE BENDICH. Proceedings of the Nutrition Society (1991) 50, 263—274.
  27. Santos MS, Gaziano JM, Leka LS, Beta-carotene-induced enhancement of natural killer cell activity in elderly men: an investigation of the role of cytokines. Am J Clin Nutr. 1998 Jul; 68(1):164-70.
  28. Rhodes J. Human interferon action: reciprocal regulation by retinoic acid and beta-carotene. J Natl Cancer Inst. 1983 May; 70(5):833-7.
  29. Biochim Biophys Acta. 1987 Apr 24; 918(3):304-7. Inhibition of arachidonic acid oxidation by beta-carotene, retinol and alpha-tocopherol. Halevy O, Sklan D.
  30. Бета-каротин и раковые заболевания. Дата обращения: 13 января 2010. Архивировано 13 мая 2012 года.
  31. The Effect of Vitamin E and Beta Carotene on the Incidence of Lung Cancer and Other Cancers in Male Smokers. Дата обращения: 13 января 2010. Архивировано 4 января 2010 года.
  32. Risk Factors for Lung Cancer and for Intervention Effects in CARET, the Beta-Carotene and Retinol Efficacy Trial. Дата обращения: 13 января 2010. Архивировано 22 июня 2009 года.
  33. Goralczyk R. Beta-carotene and lung cancer in smokers: review of hypotheses and status of research. Nutr Cancer. 2009 Nov; 61(6):767-74.
  34. UK Food Standards Agency: Current EU approved additives and their E Numbers. Дата обращения: 27 октября 2011. Архивировано 7 октября 2010 года.
  35. Australia New Zealand Food Standards CodeStandard 1.2.4 – Labelling of ingredients. Дата обращения: 22 декабря 2014. Архивировано 2 сентября 2013 года.
  36. US FDA: Food Additive Status List. Food and Drug Administration. Дата обращения: 22 декабря 2014. Архивировано 4 ноября 2017 года.
  37. Marmion, Daniel. Colorants for Foods, Drugs, and Cosmetics // Kirk-Othmer Encyclopedia of Chemical Technology / Daniel Marmion, Updated By Staff. — 2012. — ISBN 978-0471238966. doi:10.1002/0471238961.0315121513011813.a01.pub3.
  38. World Health Organization. β-CAROTENE, SYNTHETIC // Joint FAO/WHO Expert Committee on Food Additives. Архивировано 9 января 2023 года.
  39. 1 2 EFSA Panel on Food Additives and Nutrient Sources added to Food (ANS). Scientific Opinion on the re‐evaluation of mixed carotenes (E 160a (i)) and beta‐carotene (E 160a (ii)) as a food additive // EFSA Journal. — 2012-03. Т. 10, вып. 3. doi:10.2903/j.efsa.2012.2593.

Ссылки