Оксапрозин
| Оксапрозин | |
|---|---|
| |
| Химическое соединение | |
| ИЮПАК | 3-(4,5-diphenyl-1,3-oxazol-2-yl)propanoic acid |
| Брутто-формула | C18H15NO3 |
| CAS | 21256-18-8 |
| PubChem | 4614 |
| DrugBank | DB00991 |
| Состав | |
| Классификация | |
| Фармакол. группа | Нестероидные противовоспалительные препараты |
| АТХ | M01AE12 |
| Другие названия | |
| «Валикс» | |
Оксапрозин (англ. Oxaprozin) — нестероидный противовоспалительный препарат (НПВП), по химическому составу относится к производным пропионовой кислоты. Известен под названием «Валикс»[1]. Обладает противовоспалительным, обезболивающим и жаропонижающим действием. Используется для снятия воспаления, отёка, скованности и боли в суставах, связанных с остеоартритом и ревматоидным артритом. Препарат был запатентован в 1967 году и разрешен к применению в 1983 году[2][3].
Основная информация
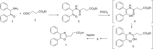
Оксапрозин был разработан и запатентован американской лабораторией Wyeth-Ayerst[4]. Патент был подан 6 ноября 1967 года, опубликован — 11 мая 1971 года[5]. После подачи заявки на патент, первое описание оксапрозина, проявляющего противовоспалительные свойства, было изложено в статье «Диарилоксазол и диалтиазолеалканоковые кислоты: две новые серии нестероидных противовоспалительных средств». Эта статья была опубликована в журнале «Nature» в 1968 году[6].
В 2015 году оксапрозин был одним из двадцати нестероидных противовоспалительных препаратов, включённых в клинические исследования для сравнения эффективности НПВП при краткосрочном лечении анкилозирующего спондилита (АС). Сравнение НПВП проводилось путём проведения рандомизированных исследований НПВП у пациентов с активным АС. Продолжительность эксперимента составляла 2-12 недель. Эффективность оценивалась по изменению оценки боли и изменению продолжительности утренней скованности. Всего было завершено 26 испытаний с 3410 участниками (в 58 % испытаний было менее 50 участников). В то время как все 20 НПВП уменьшали боль сильнее, чем плацебо, 15 оказались значительно лучше. Что касается снижения утренней скованности и вероятности нежелательных явлений, не было существенной разницы между НПВП. Из-за малого количества проведённых исследований и недостаточных доказательств ни один НПВП не может быть определён как наиболее эффективное средство для лечения АС. После эторикоксиба пациенты, принимавшие оксапрозин, испытывали меньше боли с малым количеством побочных эффектов, чем напроксен[7].

Побочные эффекты
В октябре 2020 года Управление по санитарному надзору за качеством пищевых продуктов и медикаментов США (FDA) потребовало обновить этикетку для всех нестероидных противовоспалительных препаратов (НПВП), чтобы описать риск проблем с почками у нерожденных младенцев, которые приводят к низкому содержанию околоплодных вод. FDA рекомендуют избегать приема НПВП беременным женщинам на сроке 20 недель или позже[8][9].
Примечания
- ↑ Жар, боль, воспаление: зачем нужны НПВС, какие они бывают и как действуют. XXII ВЕК (14 ноября 2019). Дата обращения: 30 июля 2021. Архивировано 13 августа 2020 года.
- ↑ Greenblatt, 1985, с. 373–378.
- ↑ Fischer, 2006, с. 520.
- ↑ Reports, 1992.
- ↑ Oxazoles. Patent Services (1967). Дата обращения: 30 июля 2021. Архивировано 2 августа 2021 года.
- ↑ Nature, 1968.
- ↑ Runsheng, 2015, с. 1152—1160.
- ↑ Lauren-Jei McCarthy. "FDA Warns that Using a Type of Pain and Fever Medication in Second Half of Pregnancy Could Lead to Complications". U.S. Food and Drug Administration (FDA) (15 октября 2020). Дата обращения: 6 января 2022. Архивировано 16 октября 2020 года.
- ↑ "NSAIDs may cause rare kidney problems in unborn babies". U.S. Food and Drug Administration (FDA) (16 октября 2020). Дата обращения: 6 января 2022. Архивировано 17 октября 2020 года.
Литература
- Greenblatt D.J., Matlis R, Scavone J. M.,Blyden G.T.,Harmatz J.S., Shader R. I. Oxaprozin pharmacokinetics in the elderly. (англ.) // British journal of Clinical Pharmacology : journal. — 1985. — March (vol. 19, no. 3). — P. 373–378. — doi:10.1111/j.1365-2125.1985.tb02656.x.
- János Fischer, C. Robin Ganellin. Analogue-based Drug Discovery. — John Wiley & Sons, 2006. — 606 с. — ISBN 9783527607495.
- Wang, Runsheng; Dasgupta, Abhijit; Ward, Michael M. Comparative efficacy of non-steroidal anti-inflammatory drugs in ankylosing spondylitis: a Bayesian network meta-analysis of clinical trials (англ.) // Annals of the Rheumatic Diseases : journal. — 2015. — 1 August (vol. 75, no. 6). — P. 1152–1160. — doi:10.1136/annrheumdis-2015-207677.
- The NDA Pipeline / Chevy Chase. — F-D-C Reports, 1992. — 462 с.
- Brown, K. Diaryloxazole and Diarylthiazolealkanoic Acids: Two Novel Series of Non-steroidal Anti-inflammatory Agents (англ.) // Nature : journal. — 1968. — doi:10.1038/219164a0.
