Протозвезда

Протозвезда — звезда на начальной стадии своей эволюции и на заключительном этапе своего формирования перед возникновением термоядерного синтеза. Точные границы этого понятия размыты, а сами протозвёзды могут иметь совершенно разные характеристики. Однако в любом случае в процессе эволюции звёзд отправной точкой стадии протозвезды является начало сжатия молекулярного облака, а завершающей — момент, когда основным источником энергии звезды становится термоядерный синтез, и она становится полноценной звездой главной последовательности. В зависимости от массы протозвезды, данная стадия может продолжаться от 105 лет для самых крупных объектов до 109 лет для самых маломассивных.
В англоязычной литературе термин «протозвезда» используется только для стадии, когда аккреция оболочек всё ещё продолжается; для описания всей эволюции звезды, когда она ещё не достигла главной последовательности, используется термин «молодой звёздный объект» (англ. young stellar object).
Характеристики
Из-за изменений, которым протозвёзды подвергаются со временем, их параметры варьируются в довольно широком диапазоне. Их массы могут достигать 100—150 M⊙; минимальная масса протозвёзд, которые в дальнейшем становятся полноценными звёздами, составляет 0,07—0,08 M⊙, но встречаются объекты и меньшей массы[1]. Эффективная температура протозвёзд при формировании составляет несколько десятков кельвинов и постепенно возрастает до температуры, которую звезда будет иметь на главной последовательности. Полная светимость протозвёзд — от 10−3 до 105 L⊙[2]. Протозвёзды — молодые объекты, которые не успели покинуть родительское молекулярное облако и чаще всего достаточно тесно сгруппированы в наиболее плотных и непрозрачных частях облака. Концентрация протозвёзд в большинстве случаев превышает 1 пк−3, а примерно половина их сгруппирована в областях с концентрацией более 25 пк−3[3].
Классификация
Обычно выделяется четыре класса протозвёзд: 0, I, II и III, которые различаются в первую очередь спектрами. Эти различия обусловлены разницей в эволюционных стадиях (см. ниже)[3][4][5][6][7].
- Класс 0: протозвезда излучает в основном в дальнем инфракрасном и миллиметровом диапазонах. Спектр излучения чернотельный, его эффективная температура составляет менее 70 K. Наблюдается только газопылевая оболочка, её масса больше массы протозвезды. В этой стадии протозвёзды промежуточной массы проводят порядка 105 лет: распространена оценка длительности в 104 лет, но она, судя по всему, ошибочна и вызвана тем, что измерения проводились на аномальной выборке[3].
- Класс I: спектр похож на спектр протозвезды класса 0, но наблюдается также поток в ближнем инфракрасном диапазоне. Спектр излучения также чернотельный, его эффективная температура составляет от 70 до 650 K, но в нём наблюдается избыток инфракрасного излучения, который создаётся аккреционным диском. Масса протозвезды превышает массу окружающего вещества. В этой стадии протозвёзды промежуточной массы проводят порядка 105 лет.
- Класс II: максимум спектра достигается в ближнем инфракрасном диапазоне, протозвезда видима и в оптическом диапазоне. Эффективная температура чернотельного спектра составляет от 650 до 2800 K, избыток инфракрасного излучения выражен слабее. В этой стадии протозвёзды промежуточной массы проводят порядка 106 лет.
- Класс III: максимум спектра находится в видимом диапазоне. Эффективная температура чернотельного спектра составляет более 2800 K, инфракрасный избыток практически отсутствует. В этой стадии протозвёзды промежуточной массы проводят порядка 107 лет.
Существует также альтернативная классификация, для которой вводится параметр в диапазоне от 2,2 до 10—25 мкм. Эта величина характеризует зависимость спектральной плотности излучения от длины волны: если , то поток на длинных волнах больше, чем на коротких, и наоборот, если . В этой классификации протозвезду относят к классу I, если у её спектра , к классу II относятся протозвёзды с , а к классу III — протозвёзды с . В случае, если в длинах волн менее 10 мкм звезда не наблюдается, её относят к классу 0. Классы в этих двух системах приблизительно соответствуют друг другу[3][4]. Иногда источники с выделяют в отдельный тип — источники с плоским спектром (англ. flat spectrum)[8].
Некоторые протозвёзды могут принадлежать, помимо вышеописанных классов, к другим типам звёзд по иным принципам классификации. Так, например, протозвёзды классов II и III с массами до 3 M⊙ переменны и являются звёздами типа T Тельца[5][6][9], либо, в некоторых случаях, фуорами[10]. Объекты с большей массой, до 10 M⊙, на стадии протозвезды проходят стадию звёзд Хербига (Ae/Be)[11][12].
Эволюция

1 — свободно падающее вещество
2 — фотосфера, излучающая в инфракрасном диапазоне
3 — непрозрачная газопылевая оболочка
4 — фронт ударной волны
5 — гидростатически равновесное ядро

Формирование
Звёзды формируются из молекулярных облаков, состоящих в основном из водорода и гелия. Когда в облаке появляется гравитационная неустойчивость, оно начинает сжиматься, а в дальнейшем разделяется на области меньшего размера, каждая из которых продолжает коллапсировать — иногда этот момент рассматривается как начало стадии протозвезды[13], но чаще за него принимается формирование гидростатически равновесного ядра (см. ниже).
В результате сжатия выделяется энергия, но из-за того, что облако прозрачно для инфракрасного излучения с длиной волны более 10 мкм, вся она излучается в окружающее пространство. Однако облако постепенно уплотняется, становится всё более непрозрачным для собственного излучения и в какой-то момент начинает нагреваться[14][15].
Быстрое сжатие
Сжатие облака происходит неравномерно, и через некоторое время после начала сжатия в облаке формируется гидростатически равновесное ядро — обычно считается, что именно с этого момента облако, а точнее его ядро, является протозвездой[15][16]. Практически вне зависимости от массы облака, масса ядра будет составлять 0,01 M⊙, радиус — несколько а.е., а температура в центре — 200 K. Аккреция внешних слоёв облака на ядро приводит к росту его массы и температуры, но при температуре в 2000 K её рост останавливается, так как энергия уходит на распад молекул водорода. В какой-то момент равновесие нарушается и ядро начинает сжиматься. Следующее равновесное состояние достигается для более маленького, теперь уже ионизованного ядра с массой 0,001 M⊙, радиусом около 1 R⊙ и температурой 2⋅104 K, и всего за срок порядка 10 лет вещество из первого сформировавшегося ядра выпадает на более маленькое ионизованное ядро. При этом ядро, излучающее в оптическом диапазоне, скрыто от окружающего пространства оболочкой, которая имеет гораздо меньшую температуру и излучает только в инфракрасном диапазоне[15]. В это время протозвезда принадлежит к классу 0, а потом постепенно переходит к классу I[5][7].
Аккреция внешних слоёв продолжается, протозвезда постепенно увеличивает радиус до 4 R⊙, который останется до завершения аккреции практически неизменным[7], а падающее на ядро со скоростью 15 км/с вещество образует ударную волну. На ядро падает вещество сферической оболочки, ионизуется, и, когда большая часть материала попадает на протозвезду, она становится доступной для наблюдения[17]. До этого момента сжатие внешней оболочки идёт по динамической временной шкале, то есть её длительность соответствует длительности свободного падения вещества, которому не препятствует давление газа[18].
Темп аккреции на протозвезду связан со скоростью звука в среде оболочки, обозначаемой , и гравитационной постоянной соотношением , где — безразмерный коэффициент, в различных моделях принимающий значения порядка 30; в среднем, это соответствует величине порядка 10−5 M⊙/год. Со временем темп аккреции уменьшается, и всё вещество оболочки падает на протозвезду за срок порядка миллиона лет[7].
У протозвёзд достаточно большой массы возрастающее давление излучения и звёздный ветер сдувают часть вещества оболочки, при этом может образоваться объект Хербига — Аро[17][19][20]. Кроме того, если изначально облако вращалось, у протозвезды ещё может остаться протопланетный диск, состоящий из вещества, которое не аккрецировало на звезду; он впоследствии может эволюционировать в планетную систему[7][21].
Медленное сжатие

Протозвёзды, у которых уже закончилась аккреция оболочек, иногда выделяются в отдельный тип: звёзды до главной последовательности, к ним относятся классы протозвёзд II и III. В англоязычной литературе такие объекты уже не называются протозвёздами, но существует термин «молодой звёздный объект» (англ. young stellar object), объединяющий протозвёзды и звёзды до главной последовательности[7][22].
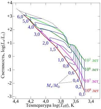
Положение протозвезды можно отметить на Диаграмме Герцшпрунга — Рассела: протозвезда, имеющая низкую температуру и высокую светимость, находится в её верхней правой части. Пока в звезде не начались термоядерные реакции и она выделяет энергию за счёт гравитационного сжатия, она медленно движется к главной последовательности[7][15][17].
Так как эти тела поддерживаются собственным давлением, они сжимаются гораздо медленнее, чем на предыдущей стадии, — в тепловой временной шкале, то есть за период, в течение которого половина потенциальной гравитационной энергии израсходуется на излучение[18]. У самых массивных звёзд она занимает около 105 лет, а у наименее массивных — порядка 109 лет. Для Солнца стадия сжатия и перехода на главную последовательность продлилась 30 миллионов лет[15][23][24][25].
В 1961 году Тюсиро Хаяси (Хаяши) показал, что если весь объём звезды занимает конвективная зона, то при медленном сжатии её температура практически не меняется, а светимость падает — это соответствует движению текущего положения звезды вертикально вниз на диаграмме, и такой путь звезды принято называть треком Хаяши. Звёзды с массами в диапазоне от 0,3—0,5 M⊙ (по разным оценкам) до 3 M⊙ в течение сжатия перестают иметь конвективные слои и в какой-то момент сходят с трека Хаяши, в то время как звёзды с массами менее 0,3—0,5 M⊙ находятся на треке Хаяши на протяжении всего времени сжатия[15][26][27].
После схода с трека Хаяши (для звёзд промежуточной массы) или с самого начала медленного сжатия (для массивных звёзд) звезда перестаёт быть конвективной и при сжатии начинает нагреваться, при этом светимость меняется незначительно. Это соответствует движению влево на диаграмме, и эта часть пути называется треком Хеньи[26][27][28].
В любом случае в течение сжатия температура в центре звезды возрастает, и в ядре звезды начинают протекать термоядерные реакции — у звёзд малой и средней массы спустя некоторое время после начала сжатия, а у звёзд с массой более 8 M⊙ — ещё до того, как прекратится аккреция[4]. На ранних этапах это превращение лития и бериллия в гелий, и эти реакции производят меньше энергии, чем излучает звезда. Сжатие продолжается, но доля термоядерных реакций в выделении энергии увеличивается, ядро продолжает нагреваться, и когда температура достигает 3—4 миллионов K, начинается превращение водорода в гелий в p-p цикле[16].
В некоторый момент, если звезда имеет массу больше 0,07—0,08 M⊙, выделение энергии за счёт термоядерных реакций сравнивается со светимостью звезды и сжатие прекращается — этот момент считается моментом окончания формирования звезды и её перехода на главную последовательность. Если звезда имеет массу менее этого значения, то в ней тоже какое-то время могут идти термоядерные реакции, однако вещество звезды в ядре становится вырожденным раньше, чем прекращается сжатие, поэтому термоядерные реакции никогда не становятся единственным источником энергии, а сжатие не прекращается. Такие объекты называются коричневыми карликами[15][29][30].
История изучения
Гипотеза о том, что звёзды формируются путём уплотнения межзвёздного газа, была высказана ещё Исааком Ньютоном, хотя он давал лишь качественное описание процесса. Только в 1902 году Джеймс Джинс опубликовал расчёты и вывод, что при достаточной массе облако газа может начать коллапсировать при прохождении волн[31].
Впервые сам термин «протозвезда» ввёл Виктор Амбарцумян в 1953 году: в его гипотезе протозвёздами назывались гипотетические дозвёздные тела, которые в дальнейшем распадаются на звёзды[32][33]. Близкое к современному представление о протозвёздах появилось благодаря Тюсиро Хаяси, который занимался моделированием протозвёзд и в 1966 году опубликовал статью, подробно описывающую эти объекты[34]. В дальнейшем основные идеи практически не менялись, но теория дорабатывалась: например, Ричард Ларсон уточнил некоторые значения параметров протозвёзд во время их эволюции[17][35].
При этом протозвёзды на ранних стадиях эволюции не наблюдались до конца 1980-х годов — основную трудность составляло то, что сами протозвёзды изначально скрыты за плотной газопылевой оболочкой. Кроме того, сама оболочка излучает в основном в инфракрасном диапазоне, который сильно поглощается земной атмосферой, что дополнительно затрудняет наблюдения с поверхности Земли[36]. Главным источником сведений о звёздах на начальной стадии эволюции длительное время служили звёзды типа T Тельца, которые были выделены в отдельный тип звёзд ещё в 1945 году[17][37]. Значительный вклад в изучение протозвёзд внесли также космические инфракрасные телескопы, такие как Спитцер и Гершель: например, только в Облаке Ориона теперь известно как минимум 200 протозвёзд[38][39].
Примечания
- ↑ Richard W. Pogge. Lecture 14: Star Formation (англ.). Astronomy. The Ohio State University. Дата обращения: 11 октября 2020. Архивировано 12 июля 2010 года.
- ↑ Takashi Hosokawa, Kazuyuki Omukai. Evolution of massive protostars with high accretion rates (англ.) // The Astrophysical Journal. — Bristol: IOP Publishing, 2009. — 19 January (vol. 691, iss. 1). — P. 823–846. — ISSN 1538-4357 0004-637X, 1538-4357. — doi:10.1088/0004-637x/691/1/823. Архивировано 2 июля 2021 года.
- 1 2 3 4 Neal J., II Evans, Michael M. Dunham, Jes K. Jørgensen, Melissa L. Enoch, Bruno Merín. The Spitzer c2d Legacy Results: Star-Formation Rates and Efficiencies; Evolution and Lifetimes (англ.) // The Astrophysical Journal Supplement Series. — Bristol: IOP Publishing, 2009. — 1 April (vol. 181). — P. 321–350. — doi:10.1088/0067-0049/181/2/321. Архивировано 5 июля 2014 года.
- 1 2 3 Christopher F. McKee, Eve C. Ostriker. Theory of Star Formation (англ.) // Annual Review of Astronomy and Astrophysics. — San Francisco: Annual Reviews, 2007. — 1 September (vol. 45). — P. 565–687. — ISSN 0066-4146. — doi:10.1146/annurev.astro.45.051806.110602. Архивировано 13 июля 2019 года.
- 1 2 3 Early phases of protostars: star formation and protoplanetary disks (англ.). International Max Planck Research School for Solar System Science. University of Göttingen. Дата обращения: 6 октября 2020. Архивировано 17 апреля 2021 года.
- 1 2 Philip Armitage. Protostars and pre-main-sequence stars (англ.). Jila. University of Colorado. Дата обращения: 6 октября 2020. Архивировано 11 октября 2020 года.
- 1 2 3 4 5 6 7 Richard B. Larson. The physics of star formation (англ.) // Reports on Progress in Physics. — Bristol: IOP Publishing, 2003. — September (vol. 66, iss. 10). — P. 1651—1697. — ISSN 0034-4885. — doi:10.1088/0034-4885/66/10/R03. Архивировано 7 апреля 2021 года.
- ↑ D. S. L. Soares. The Identification of Physical Close Galaxy Pairs (англ.) // The Astronomical Journal. — Bristol: IOP Publishing, 2007. — 1 July (vol. 134). — P. 71–76. — ISSN 0004-6256. — doi:10.1086/518240.
- ↑ David Darling. T Tauri star. The Internet Encyclopedia of Science. Дата обращения: 6 октября 2020. Архивировано 27 января 2021 года.
- ↑ David Darling. FU Orionis star. The Internet Encyclopedia of Science. Дата обращения: 6 октября 2020. Архивировано 1 сентября 2019 года.
- ↑ M. Vioque, R. D. Oudmaijer, M. Schreiner, I. Mendigutía, D. Baines. Catalogue of new Herbig Ae/Be and classical Be stars — A machine learning approach to Gaia DR2 (англ.) // Astronomy & Astrophysics. — Les Ulis: EDP Sciences, 2020. — 1 June (vol. 638). — P. A21. — ISSN 1432-0746 0004-6361, 1432-0746. — doi:10.1051/0004-6361/202037731. Архивировано 5 августа 2020 года.
- ↑ David Darling. Herbig Ae/Be star. The Internet Encyclopedia of Science. Дата обращения: 6 октября 2020. Архивировано 14 октября 2020 года.
- ↑ Сурдин, 2015, с. 143.
- ↑ Кононович, Мороз, 2004, с. 387.
- 1 2 3 4 5 6 7 Сурдин В. Г., Ламзин С. А. Протозвёзды. Где, как и из чего формируются звёзды. От облака к звезде. Астронет (1992). Дата обращения: 11 июля 2020. Архивировано 23 сентября 2015 года.
- 1 2 Karttunen et al., 2007, p. 244.
- 1 2 3 4 5 Сурдин В. Г., Ламзин С. А. Протозвёзды. Где, как и из чего формируются звёзды. Что же такое протозвёзды? Астронет (1992). Дата обращения: 20 июля 2010. Архивировано 6 марта 2012 года.
- 1 2 Эволюция звезд. Кафедра астрономии и космической геодезии. Томский государственный университет. Дата обращения: 4 октября 2020. Архивировано 13 июля 2018 года.
- ↑ Star — Star formation and evolution (англ.). Encyclopedia Britannica. Encyclopedia Britannica Inc.. Дата обращения: 8 октября 2020. Архивировано 1 января 2018 года.
- ↑ David Darling. Herbig-Haro object. The Internet Encyclopedia of Science. Дата обращения: 8 октября 2020. Архивировано 29 апреля 2021 года.
- ↑ Кононович, Мороз, 2004, с. 356–358.
- ↑ RG Research: Young Stellar Objects. Harvard CFA. Harvard University Press. Дата обращения: 29 января 2021. Архивировано 24 ноября 2017 года.
- ↑ Кононович, Мороз, 2004, с. 393–394.
- ↑ Karttunen et al., 2007, p. 243.
- ↑ I.-Juliana Sackmann, Arnold I. Boothroyd, Kathleen E. Kraemer. Our Sun. III. Present and Future // The Astrophysical Journal. — Bristol: IOP Publishing, 1993. — 1 ноября (т. 418). — С. 457. — ISSN 0004-637X. — doi:10.1086/173407. Архивировано 26 февраля 2008 года.
- 1 2 Darling D. Henyey track. The Internet Encyclopedia of Science. Дата обращения: 11 июля 2020. Архивировано из оригинала 29 января 2010 года.
- 1 2 Henyey track. Oxford Reference. Oxford University Press. Дата обращения: 11 июля 2020. Архивировано 15 июля 2021 года.
- ↑ Henyey L. G.; Lelevier R.; Levée R. D. The early phases of stellar evolution (англ.) // Report. — San Francisco: The Astronomical Society of the Pacific, 1955. Архивировано 8 октября 2020 года.
- ↑ Burrows A.; Hubbard W. B.; Saumon D.; Lunine J. I. An expanded set of brown dwarf and very low mass star models (англ.) // The Astrophysical Journal : academic journal. — Bristol: IOP Publishing, 1993. — Vol. 406, no. 1. — P. 158—171. — ISSN 0004-637X. — doi:10.1086/172427. — . Архивировано 22 декабря 2014 года. — См. С. 160.
- ↑ Кононович, Мороз, 2004, с. 398.
- ↑ Сурдин, 2015, с. 140.
- ↑ Viktor Ambartsumian (англ.). www.aras.am. Yerevan: Armenian Astronomical Society. Дата обращения: 5 октября 2020. Архивировано 11 апреля 2021 года.
- ↑ Насимович Ю. А. Звёзды. Как рождаются звёзды. Астронет. Дата обращения: 5 октября 2020. Архивировано 17 декабря 2011 года.
- ↑ Chushiro Hayashi. Evolution of Protostars (англ.) // Annual Review of Astronomy and Astrophysics. — Pato Alto: Annual Reviews, 1966. — Vol. 4. — P. 171. — doi:10.1146/annurev.aa.04.090166.001131.
- ↑ Richard B. Larson. Numerical Calculations of the Dynamics of a Collapsing Proto-Star (англ.) // Monthly Notices of the Royal Astronomical Society. — New York: Wiley-Blackwell, 1969. — 1 August (vol. 145, iss. 3). — P. 271–295. — ISSN 0035-8711. — doi:10.1093/mnras/145.3.271. Архивировано 10 сентября 2020 года.
- ↑ Stars (англ.). NASA Spitzer Space Telescope. Дата обращения: 7 ноября 2020. Архивировано 13 ноября 2020 года.
- ↑ Сурдин В. Г., Ламзин С. А. Протозвёзды. Где, как и из чего формируются звёзды. Звёзды типа T Тельца. Астронет (1992). Дата обращения: 6 ноября 2020. Архивировано 23 сентября 2015 года.
- ↑ Herschel Orion Protostars Survey SED Fits Catalog Definitoins. irsa.ipac.caltech.edu. Дата обращения: 7 ноября 2020. Архивировано 14 апреля 2021 года.
- ↑ M. M. Dunham, A. M. Stutz, L. E. Allen, N. J., II Evans, W. J. Fischer. The Evolution of Protostars: Insights from Ten Years of Infrared Surveys with Spitzer and Herschel // Protostars and Planets VI (англ.). — Tucson; Huston: The University of Arizona Press; Lunar and Planetary Institute, 2014. — P. 195—218. — 945 p. — ISBN 978-0-8165-3124-0. — doi:10.2458/azu_uapress_9780816531240-ch009.
Литература
- Кононович Э. В.; Мороз В. И. Общий курс астрономии / под ред. В. В. Иванова. — 2-е, исправленное. — М.: УРСС, 2004. — 544 с. — ISBN 5-354-00866-2.
- Karttunen H., Kroger P., Oja H., Poutanen M., Donner K. J. Fundamental Astronomy. — 5th Edition. — Berlin, Heidelberg, New York: Springer, 2007. — 510 p. — ISBN 978-3-540-34143-7.
- Сурдин В. Г. Астрономия: век XXI. — 3-е изд. — Фрязино: Век 2, 2015. — 608 с. — ISBN 978-5-85099-193-7.